文章信息
- 章繁, 刘长建, 冯绪, 李林阳, 王方超
- ZHANG Fan, LIU Changjian, FENG Xu, LI Lingyang, WANG Fangchao
- 一种基于拓展岭估计的北斗三频周跳实时处理方法
- A Triple-Frequency Cycle Slip Real-Time Processing Method for BDS Based on Extented Ridge Estimation
- 武汉大学学报·信息科学版, 2020, 45(1): 62-71
- Geomatics and Information Science of Wuhan University, 2020, 45(1): 62-71
- http://dx.doi.org/10.13203/j.whugis20180321
-
文章历史
收稿日期: 2019-02-15

随着我国北斗卫星导航系统(BeiDou navigation satellite system,BDS)的建设与完善,卫星数据的易用性和精度都得到了大幅改善[1]。数据预处理是BDS高精度定位与导航的重要前提和保障,其中周跳的处理是必不可少的一环。BDS三频信号相较于双频信号可为周跳处理提供众多电离层延迟小、噪声低、波长长的探测组合[2-3],具有更广阔的应用前景。
针对三频周跳探测与修复的特性,文献[4-5]研究了无电离层伪距相位周跳探测与修复方法,但组合探测敏感性易受到伪距噪声的影响,探测效果较差;文献[6]对几个无几何相位组合进行最优组合,但该优选组合不能构成3个线性无关探测量,为此使用了最小二乘模糊度降相关平差(least-square ambiguity decorrelation adjustment,LAMBDA)法进行搜索处理,虽然取得了较好的效果,但过程较为复杂;文献[7]对比分析了无几何相位组合法和伪距相位组合法的算法复杂度、探测效果以及受电离层影响程度等,综合表明伪距相位组合法更具优势。而当采用混合组合法联合两个无几何相位组合以及一个伪距相位组合处理周跳时,往往会受到法方程组病态的影响,使得众多学者不得不避开这些性质优良的探测组合[8-9],针对这一问题,目前的相关研究较少,为了更好利用组合观测值性质进行周跳数据处理,有必要对此展开进一步研究。
本文首先构建了两个无几何相位组合和一个无几何伪距相位组合,分析了其对各类周跳的探测能力,然后针对该探测组合存在的方程组病态的问题,从有偏估计角度出发,提出了一种基于拓展岭估计的周跳实时修复方法,最后利用北斗三频实测数据进行了验证与分析,得出相应结论。
1 周跳探测量构造 1.1 无几何相位组合根据文献[10-11],忽略多路径影响,可将相位的观测方程简写为:
| $ {L}_{i}={\lambda }_{i}{\phi }_{i}=\rho -\frac{I}{{f}_{i}^{2}}+{\lambda }_{i}{N}_{i}+{\lambda }_{i}\varepsilon _{{\phi }_{i}} $ | (1) |
式中,λi、
| $ \begin{array}{c}{L}_{\alpha \beta \gamma }=\alpha {L}_{1}+\beta {L}_{2}+\gamma {L}_{3}=\alpha {\lambda }_{1}{\phi }_{1}+\beta {\lambda }_{2}{\phi }_{2}+\gamma {\lambda }_{3}{\phi }_{3}=\\ (\alpha +\beta +\gamma )\rho -{\eta }_{\alpha \beta \gamma }{I}_{1}+{N}_{\alpha \beta \gamma }+\varepsilon _{{L}_{\alpha \beta \gamma }}\end{array} $ | (2) |
式中,
| $ \alpha +\beta +\gamma =0 $ | (3) |
再对历元间作差可得:
| $ \mathrm{\Delta }{L}_{\alpha \beta \gamma }=-{\eta }_{\alpha \beta \gamma }\mathrm{\Delta }{I}_{1}+\mathrm{\Delta }{N}_{\alpha \beta \gamma }+\mathrm{\Delta }\varepsilon _{{L}_{\alpha \beta \gamma }} $ | (4) |
于是,得到组合周跳实数估值:
| $ \mathrm{\Delta }{\hat N}\alpha \beta \gamma =\mathrm{\Delta }{L}_{\alpha \beta \gamma }+{\eta }_{\alpha \beta \gamma }\mathrm{\Delta }{I}_{1}-\mathrm{\Delta }\varepsilon _{{L}_{\alpha \beta \gamma }} $ | (5) |
由式(5)可知,无几何相位组合周跳探测会受到历元间电离层残差项
| $ {\sigma }_{\mathrm{\Delta }{\hat N}_{\alpha \beta \gamma }}=\sqrt{2\left({\left(\alpha {\lambda }_{1}\right)}^{2}+{\left(\beta {\lambda }_{2}\right)}^{2}+{\left(\gamma {\lambda }_{3}\right)}^{2}\right){\sigma }_\varepsilon } $ | (6) |
式中,
| $ {\left(\alpha {\lambda }_{1}\right)}^{2}+{\left(\beta {\lambda }_{2}\right)}^{2}+{\left(\gamma {\lambda }_{3}\right)}^{2}=\mathrm{m}\mathrm{i}\mathrm{n} $ | (7) |
判断周跳发生的阈值为:
| $ \left|\mathrm{\Delta }{L}_{\alpha \beta \gamma }\right|>m{\sigma }_{{}_{\mathrm{\Delta }{\hat N}_{\alpha \beta \gamma }}} $ | (8) |
式中,m取3、4分别对应99.7%、99.9%的置信水平探测周跳。本文
| |
|
|
|
| [1 1-2] | -0.068 5 | 0.011 4 | 0.045 4 |
| [1-2 1] | 0.160 0 | 0.011 7 | 0.046 6 |
| [1-1 0] | -0.129 0 | 0.004 4 | 0.017 6 |
| [1 0-1] | -0.098 5 | 0.004 3 | 0.017 2 |
| [1 2-3] | -0.038 0 | 0.012 5 | 0.050 0 |
| [1 3-4] | -0.007 8 | 0.017 2 | 0.068 8 |
在历元
| $ {P}_{i}\left(t\right)=\rho \left(t\right)+\frac{I}{{f}_{i}^{2}}+\varepsilon _{{P}_{i}} $ | (9) |
| $ {\phi }_{i}\left(t\right)=\frac{\rho \left(t\right)}{{\lambda }_{i}}-\frac{I}{{f}_{i}^{2}}\cdot \frac{1}{{\lambda }_{i}}+{N}_{i}+\varepsilon _{{\phi }_{i}} $ | (10) |
式中,
| $ \begin{array}{c}{P}_{abc}=a{P}_{1}+b{P}_{2}+c{P}_{3}=(a+b+c)\rho +\\ {\eta }_{abc}{I}_{1}+\varepsilon _{{P}_{abc}}\end{array} $ | (11) |
式中,
| $ a+b+c=1 $ | (12) |
则三频相位组合可表示为:
| $ {\phi }_{\alpha \beta \gamma }=\frac{1}{{\lambda }_{\alpha \beta \gamma }}\rho -{\eta }_{\alpha \beta \gamma }{I}_{1}+{N}_{\alpha \beta \gamma }+\varepsilon _{{\phi }_{\alpha \beta \gamma }} $ | (13) |
式中,组合波长为:
电离层延迟系数为:
由式(11)、式(13)可进一步组合,得到无几何伪距相位组合表达式:
| $ {\phi }_{\alpha \beta \gamma }-\frac{{P}_{abc}}{{\lambda }_{\alpha \beta \gamma }}=-({\eta }_{\alpha \beta \gamma }+\frac{{\eta }_{abc}}{{\lambda }_{\alpha \beta \gamma }}){I}_{1}+{N}_{\alpha \beta \gamma }+\varepsilon _{{\phi }_{\alpha \beta \gamma }}-\frac{\varepsilon _{{P}_{abc}}}{{\lambda }_{\alpha \beta \gamma }} $ | (14) |
经分析,
| $ \begin{array}{c}\mathrm{\Delta }{\phi }_{\alpha \beta \gamma }-\frac{\mathrm{\Delta }{P}_{abc}}{{\lambda }_{\alpha \beta \gamma }}=-({\eta }_{\alpha \beta \gamma }+\frac{{\eta }_{abc}}{{\lambda }_{\alpha \beta \gamma }})\mathrm{\Delta }{I}_{1}+\mathrm{\Delta }{N}_{\alpha \beta \gamma }+\\ \mathrm{\Delta }\varepsilon _{{\phi }_{\alpha \beta \gamma }}-\frac{\mathrm{\Delta }\varepsilon _{{P}_{abc}}}{{\lambda }_{\alpha \beta \gamma }}\end{array} $ | (15) |
于是,可得到周跳实数解估值:
| $ \mathrm{\Delta }{\hat N}\alpha \beta \gamma =(\mathrm{\Delta }{\phi }_{\alpha \beta \gamma }-\frac{\mathrm{\Delta }{P}_{abc}}{{\lambda }_{\alpha \beta \gamma }})+({\eta }_{\alpha \beta \gamma }+\frac{{\eta }_{abc}}{{\lambda }_{\alpha \beta \gamma }})\mathrm{\Delta }{I}_{1} $ | (16) |
在经过历元间作差之后,电离层一阶项影响基本被消除,此时影响探测灵敏度的因素为二阶电离层延迟及观测噪声影响。式(16)的标准差为:
| $ \begin{array}{c}{\sigma }_{\mathrm{\Delta }{\hat N}_{\alpha \beta \gamma }}=\sqrt{2\left(\left({\alpha }^{2}+{\beta }^{2}+{\gamma }^{2}\right){\sigma }_{\phi }^{2}+\left({a}^{2}+{b}^{2}+{c}^{2}\right)\frac{{\sigma }_{P}^{2}}{{{\lambda }_{\alpha \beta \gamma }}^{2}}\right)}+\\ ({\eta }_{i\alpha \beta \gamma }+\frac{{\eta }_{abc}}{{\lambda }_{i\alpha \beta \gamma }}){\sigma }_{\mathrm{\Delta }{I}_{1}}\end{array} $ | (17) |
判断周跳发生的阈值为:
| $ \left|\mathrm{\Delta }{\hat N}\alpha \beta \gamma \right|=m{\sigma }_{\mathrm{\Delta }{\hat N}_{\alpha \beta \gamma }} $ | (18) |
式中,
| $ {a}^{2}+{b}^{2}+{c}^{2}=\mathrm{m}\mathrm{i}\mathrm{n} $ | (19) |
结合式(12)可知,
| |
|
|
|
| [1 2 -3] | 0.425 4 | 1.765 2 | 0.148 0 |
| [1 3 -4] | 0.777 0 | 2.765 0 | 0.095 6 |
| [1 4 -5] | 2.045 1 | 6.371 1 | 0.099 5 |
| [0 -1 1] | -0.195 4 | 4.884 3 | 0.054 3 |
| [1 1 -2] | 0.260 7 | 1.297 2 | 0.192 1 |
由表 1、表 2可以看出,北斗三频电离层延迟放大系数与周跳估值标准差是一个较难调和的矛盾,往往
将3个线性无关探测方程联立,可以得到:
| $ \mathit{\boldsymbol{A}}\mathrm{\Delta }\mathit{\boldsymbol{N}}=\mathit{\boldsymbol{L}} $ | (20) |
式中,
| $ \mathit{\boldsymbol{A}}=\left[\begin{array}{ccc}{\lambda }_{1}& {\lambda }_{2}& -2{\lambda }_{3}\\ {\lambda }_{1}& -2{\lambda }_{2}& {\lambda }_{3}\\ 1& 3& -4\end{array}\right] $ | (21) |
| $ \mathrm{\Delta }\mathit{\boldsymbol{N}}={\left[\begin{array}{ccc}\mathrm{\Delta }{N}_{1}& \mathrm{\Delta }{N}_{2}& \mathrm{\Delta }{N}_{3}\end{array}\right]}^{\mathrm{T}} $ | (22) |
| $ \mathit{\boldsymbol{L}}={\left[\begin{array}{ccc}{l}_{1}& {l}_{2}& {l}_{3}\end{array}\right]}^{\mathrm{T}} $ | (23) |
式中,
| $ {\mathit{\boldsymbol{A}}}^{\mathrm{T}}\mathit{\boldsymbol{A}}\mathrm{\Delta }\mathit{\boldsymbol{N}}={\mathit{\boldsymbol{A}}}^{\mathrm{T}}L\prime $ | (24) |
可以得到:
| $ \mathrm{\Delta }{\hat N}={\left({\mathit{\boldsymbol{A}}}^{\mathrm{T}}\mathit{\boldsymbol{A}}\right)}^{-1}{\mathit{\boldsymbol{A}}}^{\mathrm{T}}L\prime $ | (25) |
最后对式(25)解得的
岭估计[13-14]实质上是一种改良的最小二乘算法,通过放弃最小二乘的无偏性换取均方误差更小、更可靠以及更符合实际的估计结果。传统的岭估计方法是在法方程系数阵对角线上加一个很小的正数,得到岭估计解:
| $ \mathrm{\Delta }{\hat N}\prime ={\left({\mathit{\boldsymbol{A}}}^{\mathrm{T}}\mathit{\boldsymbol{A}}+k\mathit{\boldsymbol{I}}\right)}^{-1}{\mathit{\boldsymbol{A}}}^{\mathrm{T}}\mathit{\boldsymbol{L}} $ | (26) |
式中,
要想得到最优的岭估计量,关键在于
| $ {v}_{1}={\mathit{\boldsymbol{V}}}_{1}^{\mathrm{T}}{\mathit{\boldsymbol{P}}}_{1}{\mathit{\boldsymbol{V}}}_{1} $ | (27) |
| $ {v}_{2}={\mathit{\boldsymbol{V}}}_{2}^{\mathrm{T}}{\mathit{\boldsymbol{P}}}_{2}{\mathit{\boldsymbol{V}}}_{2} $ | (28) |
式中,
对于
设置周跳修复准确性检验指标
|
| 图 1 周跳探测与修复算法流程图 Fig. 1 Flowchart of Cycle Slip Detection and Repair Algorithm |
实验采用实测BDS三频数据,在GNSSer软件(http://www.gnsser.com)上实现了本文提出的算法,实验前已采用文献[15]的方法对所选卫星历元进行了钟跳探测与修复。
3.1 模拟周跳实验实验选取2017-02-14 CUT0站使用TRIMBLE NETR9接收机观测的北斗二号系统(BDS-2)C01卫星30 s采样间隔的静态观测数据,共2 800个历元,所选弧段卫星高度角均大于10°,该卫星数据未参与岭参数
| 模拟周跳 | 岭估计解 | 整数解 | 修复情况 | k值 | v1 | v2 |
| [4 0 1] | (4.013 3 0.008 7 0.996 6) | [4 0 1] | 成功 | -0.000 011 9 | 0.002 957 3 | 0.000 26 |
| [1 2 1] | (0.990 7 2.006 2 1.002 3) | [1 2 1] | 成功 | -0.000 003 7 | 0.000 150 1 | 0.000 13 |
| [0 1 2] | (0.006 2 0.994 1 1.997 4) | [0 1 2] | 成功 | 0.000 029 1 | 0.001 937 4 | 0.000 08 |
| [1 10 15] | (0.997 1 10.008 0 15.005 3) | [1 10 15] | 成功 | -0.000 000 1 | 0.001 999 0 | 0.000 10 |
|
| 图 2 模拟单历元周跳探测 |
由图 2可知,本文所选的无几何相位组合的探测量在未发生周跳时基本稳定在0.02周以内,具有很小的观测噪声水平,伪距相位组合的探测量也稳定在0.2周左右,三者组合使用具有很高的探测灵敏度。同时,3个周跳探测组合虽然各自存在不敏感周跳组合,但并不相互重叠,理论上任意周跳在3个观测量的结合使用中均可被有效探测。由图 2(a)可以看出,[1 3 -4]伪距相位组合未能探测出自身的敏感周跳组合[4 0 1],但该周跳组合均能够被其他两个无几何相位组合有效识别;同样图 2(c)中,[1 -2 1]无几何相位组合未能有效探测其自身不敏感周跳组合[0 1 2],但该周跳组合被其余两个组合观测量成功探测,这与前文理论分析保持一致。图 2(b)、图 2(d)则分别说明了该探测组合对于一般小周跳、一般大周跳的探测能力。在周跳修复方面,由表 3可以看出各个历元添加的模拟周跳均被有效修复,算法设置的修复正确性判断指标均处于正常水平,其中,
为了检验算法处理连续周跳的能力,在第500、501、502历元处分别添加[4 0 1]、[1 2 1]、[0 1 2]小周跳组合;在第1 000、1 001、1 002历元处分别添加[4 0 1]、[1 2 1]、[0 1 2]小周跳组合;在第1 500、1 501、1 502历元处分别添加[1 0 1]、[1 2 3]、[0 2 4]小周跳组合;在第2 000、2 001、2 002历元处分别添加[1 3 4]、[2 0 5]、[2 2 3]小周跳组合。模拟连续周跳探测以及修复情况分别如图 3、表 4所示。
|
| 图 3 模拟连续周跳探测实验 Fig. 3 Simulated Continuous Epoch Cycle Slip Detection |
| 历元 | 模拟周跳 | 岭估计解 | 整数解 | 修复情况 | k值 | v1 | v2 |
| 500 | [4 0 1] | (4.013 3 -0.008 0 0.996 6) | [4 0 1] | 成功 | -0.000 011 9 | 0.003 0 | 0.000 26 |
| 501 | [1 2 1] | (0.973 3 2.021 5 1.009 4) | [1 2 1] | 成功 | -0.000 004 3 | 0.001 7 | 0.001 30 |
| 502 | [0 1 2] | (0.010 3 0.991 8 1.996 3) | [0 1 2] | 成功 | -0.000 006 2 | 0.001 6 | 0.000 19 |
| 1 000 | [4 0 1] | (3.991 2 0.006 5 1.002 6) | [4 0 1] | 成功 | -0.000 002 6 | 0.000 2 | 0.000 13 |
| 1 001 | [1 2 1] | (1.009 0 1.993 0 0.997 0) | [1 2 1] | 成功 | -0.000 006 9 | 0.001 0 | 0.000 14 |
| 1 002 | [0 1 2] | (-0.005 0 1.003 5 2.001 4) | [0 1 2] | 成功 | 0.000 003 2 | 0.000 4 | 0.000 04 |
| 1 500 | [1 0 1] | (1.005 9 -0.005 7 0.997 4) | [1 0 1] | 成功 | 0.000 038 8 | 0.001 9 | 0.000 07 |
| 1 501 | [1 2 3] | (0.986 0 2.010 8 3.004 7) | [1 2 3] | 成功 | 0.000 005 2 | 0.002 6 | 0.000 33 |
| 1 502 | [0 2 4] | (0.002 7 1.993 9 3.996 2) | [0 2 4] | 成功 | 0.000 005 6 | 0.003 4 | 0.000 06 |
| 2 000 | [1 3 4] | (0.995 5 3.006 8 4.004 0) | [1 3 4] | 成功 | -0.000 000 3 | 0.002 0 | 0.000 08 |
| 2 001 | [2 0 5] | (2.002 8 -0.006 8 4.995 7) | [2 0 5] | 成功 | 0.000 004 7 | 0.001 1 | 0.000 07 |
| 2 002 | [2 2 3] | (1.996 2 1.998 9 2.998 1) | [2 2 3] | 成功 | -0.000 002 3 | 0.005 1 | 0.000 02 |
图 3反映了本文算法探测连续周跳的能力。实验在第500、501、502历元处以及第1 000、1 001、1 002历元处分别加入了3个相同的连续周跳组合,由图 3(a)、图 3(b)及表 4可知,加入的周跳组合在3个组合观测量的结合使用中均被有效探测和修复,反映了算法对随机历元连续周跳的探测以及修复能力。图 3(c)、图 3(d)则反映了算法对随机连续小周跳的探测能力,结合表 4可知,所有添加的连续小周跳组合均被有效探测和修复,且相应修复正确性判断指标均处于正常范围。
3.2 随机周跳实验为检验算法的周跳处理能力,在所选C01卫星3个频点(B1、B2、B3)每间隔5历元,对其之后历元随机逐个加入0~9周的小周跳,共576个周跳发生历元。由于算法使用了伪距观测值,而BDS-2和北斗三号系统(BDS-3)伪距观测值噪声水平不一致,为进一步测试算法的适用性,添加BDS-3卫星随机周跳实验。实验选取由国际全球连续监测评估系统(international GNSS monitoring & assessment system,IGMAS)分析中心提供的2018-10-01 ALGR站使用GNSS_ggr接收机观测的BDS-3 C32卫星静态数据,弧段共360个历元,卫星高度角均大于10°。在C32卫星的3个频点(B1C、B2a、B3I)每间隔5历元,对其之后历元随机逐个加入0~9周的小周跳,共72个历元发生周跳。对两组随机实验实时探测出来的周跳立即修复,处理结果如图 4~图 8所示。可以看出,两组实验均成功探测并修复了所有历元随机周跳。
|
| 图 4 C01随机实验探测量和随机周跳值 Fig. 4 Random Cycle Slip Detection Values and Random Cycle Slip Values of C01 |
|
| 图 5 C32随机实验探测量和随机周跳值 Fig. 5 Random Cycle Slip Detection Values and Random Cycle Slip Values of C32 |
|
| 图 6 C01 v1、v2值 Fig. 6 v1 and v2 Values of C01 |
|
| 图 7 C32 v1、v2值 Fig. 7 v1 and v2 Values of C32 |
|
|
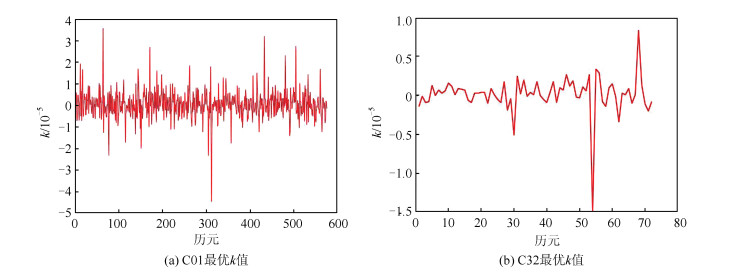
图 8 C01、C32的最优 |
图 4(a)、图 5(a)分别为C01卫星和C32卫星的周跳探测量,两组实验探测量的量级相近,探测组合中的无几何相位组合的探测量在未发生周跳时基本均在0.02周以内,伪距相位组合的探测量也稳定在0.2周左右; 图 4(b)、图 5(b)分别为两组实验添加的随机周跳值。图 6(a)、图 7(a)中, 两组
多站多星随机周跳实验选取2018-01-12 CUT0站、2016-05-06 FTNA站、2018-04-16 XMIS站、2018-04-16 SAMO站、2018-10-01 ALGR站的北斗静态30 s采样率的观测数据,这些选中的测站均未参与岭参数
| 测站 | 卫星 | 日期 | 探测成功率/% | 修复成功率/% |
| CUT0 | C01 | 2018-01-12 | 100 | 100 |
| CUT0 | C03 | 2018-01-12 | 100 | 100 |
| FTNA | C01 | 2016-05-06 | 100 | 100 |
| XMIS | C03 | 2018-04-16 | 100 | 100 |
| SAMO | C01 | 2018-04-16 | 100 | 99.83 |
| SAMO | C04 | 2018-04-16 | 100 | 100 |
| ALGR | C32 | 2018-10-01 | 100 | 100 |
| ALGR | C33 | 2018-10-01 | 100 | 100 |
实验结果表明,算法对于不同测站不同北斗卫星均同样具有良好的周跳处理效果,能准确探测出实验所有模拟随机周跳,并且除了SAMO测站C01号卫星的一个未被成功修复的历元之外,其余历元周跳均得到有效修复。进一步分析该未被修复历元,发现该历元
为了验证该周跳修复方法对其他同存在病态问题的优选周跳组合探测量的适用性,另选取[1 -1 0]、[0 -1 1]无几何相位组合与一个无几何伪距相位组合[1 4 -5]组成3个线性无关的周跳探测量, 其条件数达到7 066.47,法方程系数阵也存在严重的病态问题,同样采用统计-验证-优化的方式得到相应岭参数
本文算法联合优选的两个无几何相位组合以及一个伪距相位组合构建了3个线性无关的周跳探测量,模拟实验表明, 该组合能够准确探测所有模拟单个以及连续周跳,无不敏感周跳。首先针对周跳修复法方程系数阵病态的问题,提出一种基于拓展的岭估计的周跳修复方法,该方法能够准确修复所有模拟周跳, 并具有较高的处理效率,通过设置
| [1] |
Yang Y X, Li J L, Xu J Y, et al. Contribution of the Compass Satellite Navigation System to Global PNT Users[J]. Science Bulletin, 2011, 56(26): 2 813-2 819. DOI:10.1007/s11434-011-4627-4 |
| [2] |
Huang Lingyong, Zhai Guojun, Ouyang Yongzhong, et al. Ionospheric Cycle Slip Processing in Triple-Frequency GNSS[J]. Acta Geodaetica et Cartographica Sinica, 2015, 44(7): 717-725. (黄令勇, 翟国君, 欧阳永忠, 等. 三频电离层周跳处理[J]. 测绘学报, 2015, 44(7): 717-725. ) |
| [3] |
Wang Jian, Hu Xuanxuan, Ning Yipeng, et al. Cycle-Slip Detection and Correction for BDS Triple-Frequency Observations Under Strong Ionospheric Conditions[J]. Journal of Chinese Inertial Technology, 2017, 25(1): 71-76. (王坚, 扈旋旋, 宁一鹏, 等. 北斗三频观测值强电离层条件下的周跳探测与修复[J]. 中国惯性技术学报, 2017, 25(1): 71-76. ) |
| [4] |
Li Jinlong, Yang Yuanxi, Xu Junyi, et al. Real-Time Detection and Repair of Triple-Frequency Un-difference Observation Data of GNSS Based on Pseudorange Phase Combination[J]. Acta Geodaetica et Cartographica Sinica, 2011, 40(6): 717-722. (李金龙, 杨元喜, 徐君毅, 等. 基于伪距相位组合实时探测与修复GNSS三频非差观测数据周跳[J]. 测绘学报, 2011, 40(6): 717-722. ) |
| [5] |
Cocard M, Bourgon S, Kamali O, et al. A Systematic Investigation of Optimal Carrier-Phase Combinations for Modernized Triple-Frequency GPS[J]. Journal of Geodesy, 2008, 82(9): 555-564. DOI:10.1007/s00190-007-0201-x |
| [6] |
Dai Z, Knedlik S, Loffeld O. Real-Time Cycle-Slip Detection and Determination for Multiple Frequency GNSS[C]. The 5th Workshop on Positioning, Navigation and Communication, Hannover, German, 2008
|
| [7] |
Li Linyang, Lv Zhiping, Cui Yang, et al. Comparison of Cycle Slip Detection and Repair of Multiple-Frequency Based on Code-Phase and Geometry-Free Combination[J]. Journal of Geodesy and Geodynamics, 2015, 35(3): 396-400. (李林阳, 吕志平, 崔阳, 等. 伪距相位和无几何相位组合探测与修复多频周跳的比较[J]. 大地测量与地球动力学, 2015, 35(3): 396-400. ) |
| [8] |
Yao Y F, Gao J X, Wang J, et al. Real-time Cycle Slip Detection and Repair for BeiDou Triple-Frequency Undifferenced Observations[J]. Survey Review, 2016, 48(350): 1-9. |
| [9] |
Cao Xinyun, Wang Jian. Cycle-Slip Detection and Repair Using GPS Triple-Frequency Un-differenced Observations[J]. Geomatics and Information Science of Wuhan University, 2014, 39(4): 450-456. (曹新运, 王坚. GPS三频非差观测值探测与修复周跳[J]. 武汉大学学报·信息科学版, 2014, 39(4): 450-456. ) |
| [10] |
Zhang X H, He X Y. BDS Triple-Frequency Carrier-Phase Linear Combination Models and Their Characteristics[J]. Science China:Earth Sciences, 2015, 58(6): 896-905. DOI:10.1007/s11430-014-5027-9 |
| [11] |
Xie Jiantao, Sui Chunling, Hao Jinming, et al. Real-Time Cycle Slip Detection and Repair Using BeiDou Three-Frequency Un-difference Data[J]. Geomatics and Information Science of Wuhan University, 2016, 41(12): 1 638-1 642. (谢建涛, 隋春玲, 郝金明, 等. 利用北斗三频非差数据进行周跳实时探测与修复[J]. 武汉大学学报·信息科学版, 2016, 41(12): 1 638-1 642. ) |
| [12] |
Huang L, Lu Z, Zhai G, et al. A New Triple-Frequency Cycle Slip Detecting Algorithm Validated with BDS Data[J]. GPS Solutions, 2015, 20(4): 1-9. |
| [13] |
Wang Leyang, Xu Caijun, Lu Tieding, et al. Ridge Estimation Method in Ill-posed Weighted Total Least Squares Adjustment[J]. Geomatics and Information Science of Wuhan University, 2010, 35(11): 1 346-1 350. (王乐洋, 许才军, 鲁铁定. 病态加权总体最小二乘平差的岭估计解法[J]. 武汉大学学报·信息科学版, 2010, 35(11): 1 346-1 350. ) |
| [14] |
Wu Guangming, Lu Tieding. Ridge Estimation Iterative Solution for Ill-conditioned Data Processing[J]. Journal of Geodesy and Geodynamics, 2019, 39(2): 178-183. (吴光明, 鲁铁定. 病态数据处理的岭估计迭代解法[J]. 大地测量与地球动力学, 2019, 39(2): 178-183. ) |
| [15] |
Zhang Xiaohong, Guo Fei, Li Pan, et al. Real-Time Quality Control in GNSS Precision Single-Point Positioning[J]. Geomatics and Information Science of Wuhan University, 2012, 37(8): 940-944. (张小红, 郭斐, 李盼, 等. GNSS精密单点定位中的实时质量控制[J]. 武汉大学学报·信息科学版, 2012, 37(8): 940-944. ) |
2020, Vol. 45


