文章信息
- 王正涛, 超能芳, 姜卫平, 晁定波
- WANG Zhengtao, CHAO Nengfang, JIANG Weiping, CHAO Dingbo
- 联合GRACE与TRMM探测阿富汗水储量能力及其发生洪水的可能性
- Combination GRACE and TRMM Estimate of Water Storage Capacity and Flood Potential in Afghanistan
- 武汉大学学报·信息科学版, 2016, 41(1): 58-65
- Geomatics and Information Science of Wuhan University, 2016, 41(1): 58-65
- http://dx.doi.org/10.13203/j.whugis20150495
-
文章历史
- 收稿日期: 2015-07-31

2. 武汉大学地球空间环境与大地测量教育部重点实验室, 湖北 武汉, 430079;
3. 武汉大学卫星导航定位技术研究中心, 湖北 武汉, 430079
2. Key Laboratory of Geospace Environment and Geodesy, Ministry of Education, Wuhan University, Wuhan 430079, China;
3. Research Center of GNSS, Wuhan University, Wuhan 430079, China
目前,利用卫星遥感技术提高对全球洪水预警的能力正在变为现实。未来水文专用测高卫星,如地表水和海洋地形(surface water and ocean topography,SWOT)[1]以及全球降水测量卫星[2]对于研究全球洪水预警系统非常重要。但对于洪水预警系统,不仅需要精确的降水数据,也需要土壤湿度[3]和表面径流数据。研究表明,即使最好的降水监测也只能提供短期的洪水预报,因为洪水预警系统不仅需要气象信息,还需要洪水易发区在降水之前的土壤湿度饱和情况。
利用GRACE卫星任务提供的地球时变重力场模型[4],可得到大尺度区域(>160 000 km2,如长江流域)每个月总的水储量变化(包括土壤湿度变化、径流变化及冰雪变化等)。如果总的水储量发生变化,那么GRACE可探测到该区域响应的时变重力信号[5]。GRACE观测数据不仅可以弥补地面水文数据的空白,而且可用于对区域水循环的特性进行研究[6]。因为大流域水储量变化信号的最佳年振幅超过了GRACE数据的误差范围,所以GRACE数据可用于对大流域水文过程研究的约束。在许多区域,这些年变信号是水储量变化的主要部分,而且应与可能的最大水储量一致[7],当这些年变信号大于可能的最大水储量时,就与洪水事件存在高相关[8]。
基于GRACE确定总的水储量变化,已经在估计流域径流变化以及地下水探测等水文方面取得了许多重大成果[9, 10, 11, 12, 13, 14, 15]。但是,文献[8]利用GRACE探测全球陆地水储量变化及发生洪水的可能性,但未考虑陆地水储量的季节性,且仅由上一个月数据对洪水进行预测。本文将以阿富汗为例(阿富汗位于西亚、南亚和中亚交汇处,属大陆性气候,全年干燥少雨,但近几年(2011~2014年)都发生了严重的洪水灾害),联合GRACE和TRMM数据,根据扣除水储量变化和降水量的季节信号后的任一前期数据,提出了量化陆地水储量能力值,并定义发生洪水可能性因子,以期对洪水具有预警作用。
1 数据与方法 1.1 根据GRACE确定陆地水储量变化本文采用的GRACE数据为得克萨斯州大学空间研究中心(Center for Space Research,CSR)提供的RL05时变重力场模型,时间为2002年4月至2014年6月,总共136 mon。当GRACE卫星发生轨道共振时,无法解算重力场[16],从而导致数据缺失(2002-06、2002-07、2003-06、2011-01、2011-06、2012-05、2012-10、2013-03、2013-08、2013-09、2014-02)。GRACE月时变重力场模型为完全规格化的地球外部重力场球谐系数( Clm,Slm)[17],最大阶数为60阶。
GRACE轨道的几何形状对C20(或J2项)不敏感导致其精度相对较低,所以本文利用卫星激光测距(satellite laser ranging,SLR)观测数据确定的C20项代替上述GRACE时变重力场模型[18]中的二阶项。地球表面质量变化的推求需要地球重力位模型的所有球谐系数信息,但由于GRACE参考框架的原点位于地球质心,其时变重力位模型一阶项为零。为了更好地获取质量变化信息,顾及地心运动的影响,本文加入根据SLR观测数据得到的地心坐标计算模型一阶项位系数[19]。月时变重力场变化由残余球谐系数表达:

其中,Clmmean和 Slmmean为时间序列球谐系数的平均值。
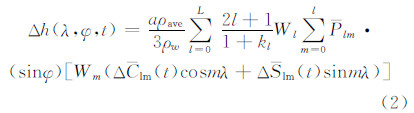
时变重力信号反应地球表面质量迁移,可将其直接转换为地球表面质量变化,通常以等效水高(equivalent water thickness,EWT)表示,且可用球谐系数表达[20, 21]:

式中,λ为地心经度;φ为地心纬度;a为参考椭球的长半轴;L为展开的最高阶数;ρave为地球平均密度,为5 517 kg/m3;ρw为水的密度,为1 000 kg/m3;kl为Love数[22];Plm是完全规格化的Legendre缔合函数[17];Wl、Wm为扇形滤波(平滑半径300 km)中对阶和次都进行高斯滤波[20]的平滑系数。
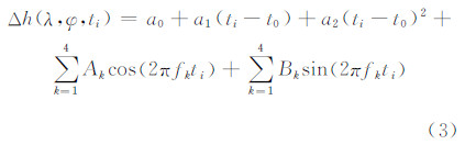
陆地水储量变化信号包括季节性信号(周年和半周年)、S2分潮(周期为161 d)、K2分潮(周期为3.73 a)[23]、趋势和加速度项信号[24],可用函数模型表达为:

式中,fk(k=1,…,4)为信号频率;Ak和Bk为信号振幅(未知);a1为趋势值;a2为加速度项。本文t0值为计算周期的中间时刻。
利用GRACE时变重力场模型确定陆地水储量变化,主要存在三类误差[25]:第一类,数据处理中的误差(GRACE测量误差及去除其他地球物理信号的模型误差);第二类,后处理误差(例如,为了移除南北条带误差和高频噪声采用空间平滑所带来的误差,由于受研究区域外信号的影响所带来的信号泄露误差);第三类,重力信号误差,如地球内部未被模型的质量变化(冰川均衡调整(glacial isostatic adjustment,GIA))。
对第一类误差进行改正是非常困难的,因为在数据处理过程中其他地球物理信号的影响以及非模型化的影响都会存在球谐系数中,而且由于GRACE时空分辨率的限制,使得误差特性表现为南北条带误差;为了减少第二类误差,学者提出了很多不同的平滑方法,这些平滑方法会抑制高频信号,降低信号振幅,从而对利用GRACE监测地球表面质量变化造成很大的影响;另一类后处理误差来自于球谐系数的波段限制(通常是50或60阶,对应的空间分辨率为350~400 km),以及局部区域的影响(信号泄露误差)。对第三类误差进行改正存在非常大的不确定性,如GIA是固体地球对冰、水造成的地表负载变化的响应,包括冰川作用及消退,GIA模型的建立是基于带推测性的冰载荷历史和地幔黏度,可靠性较差。
本文针对上述误差采用以下方法进行改正:(1)采用去相关滤波(P5M8)[26]和扇形滤波[27]对第二类误差进行改正;(2)利用文献[28]提出的尺度因子法,对截断误差、信号泄露误差和由于滤波导致的信号衰减误差进行改正;(3)由于本文研究区域为阿富汗,此处的GIA影响比较明显,所以本文采用文献[29]提供的GIA模型(该模型考虑的冰载荷历史为ICE5G,采用的地球模型为VM2,为0~60阶的球谐系数)对其进行改正。基于GRACE数据确定陆地水储量变化的详细计算流程见图 1。
|
| 图 1 基于GRACE数据确定陆地水储量变化的计算流程图 Fig. 1 Flowchart of Calculating Terrestrial Water Storage Change from GRACE Data |
TRMM是由美国国家航空和空间局(National Aeronautical and Spatial Administration,NASA)和日本国家空间发展机构(National Space Development Agency,NASDA)共同研制开发的试验卫星[30],于1997年11月27日发射成功,可提供50°S~50°N之间的全球降水数据。本文采用TRMM的第三级月降水数据产品——V7 3B43,其空间分辨率为0.25°×0.25°,时间周期与GRACE时间周期一致(2002年4月~2014年6月)。本文通过双线性插值获取TRMM阿富汗区域1°×1°的格网值,与GRACE获取的水储量变化空间分布一致。
1.3 洪水因子模型无论在何种观测条件下,即使是水文数据发生连续的巨大变化,基于GRACE确定的陆地水储量在其时间序列中的最大值也保持稳定(图 2)。为了研究这个水储量阈值,本文利用1°格网,时间分辨率为1 mon的水储量异常和降水时间序列,对陆地水量平衡进行研究:

式中,
为由GRACE确定的水储量变化,简写为S(t);P为由TRMM得到的降水;R和E分别为径流量和蒸发量。
|
| 图 2 阿富汗区域GRACE总水储量变化及TRMM降水变化时间序列 Fig. 2 Time Series of Total Water Storage Anomaly from GRACE and Integrated Precipitation Anomaly from TRMM in Afghanistan |
基于GRACE时间序列,可得到区域每年最大水储量变化,若其未达到累计降水的最大值,表明该区域的有效水储量能力;若超出累计降水的最大值,那么径流量和蒸发量就一定会增加。本文定义格网点的水储量不足或者水储量能力为SDEF:

式中,S(t)为t时刻的水储量变化;τ为前置时间(单位为mon),由于GRACE数据并不完全连续,只可选定任意前期数据对目前月份进行估计;S(t-12)为前一年相同月份的水储量变化,因为水储量变化具有很强的季节性;a、b为未知参数,通过前期水储量变化确定参数值后,即可利用任意前期数据对目前月份进行估计;SMAX为时间序列记录中水储量变化的最大值;利用前期水储量异常来估计任意时期的水储量异常,并可任意假定该月的降水分区,因此水储量不足SDEF可正确表达水储量变 化(dS/dt)的最大值。
本文认为发生洪水一定需要大量的降雨,但未必水储量就一定会增加,TRMM提供的月平均降水变化乘上对应的时间就可以得到月平均降水量:

同样类似于式(5),c、d为未知参数,则当前月降水量同样可由前期降水数据确定:

为了对比降水量与总的水储量,本文用F标定洪水量,即降水量减去水储量不足SDEF:

F是基于局部水储量异常最大值,确定当前月不能储存的水量,这与传统的“流通模型”一样,且当F大于0时,可能发生洪水。
将F 归一化处理转为洪水因子,主要有两方面的原因:(1)因为每个区域的降水量不同,将其归一化可以解释趋势水文变化,而且使得发生洪水的可视化图形更加简单;(2)因为发生洪水的月份非常异常,而且水文机制某些量很难包括在发生洪水的结果中(如正常的径流和蒸发),但归一化可以移去降水与水储量变化的差异。本文利用格网点的最大值对洪水量F进行归一化,进而得到洪水因子:

当F*接近1时,表明降水和区域水储量变化存在很大的差异,即很可能发生洪水。
考虑GRACE任务前期及后期数据的不稳定[31],数据精度可能受影响,为了验证本文方法的有效性,及保证GRACE数据与TRMM数据时间的一致性,本文采用2004年1月~2010年12月共84 mon数据(数据无缺失),确定前置时间τ。其中,2004年1月~2008年12月共60 mon数据作为前期数据,2009年1月~2010年12月共24 mon数据作为估值,通过选取τ=1~11,对式(5)及式(7)进行最小二乘解,获取参数值a、b、c、d,当标准差(STD)最小时,即是最佳前置时间,见表 1。
| τ/mon | STD(S(t))/cm | STD(PMON(t))/mm |
| 1 | 1.86 | 18.5 |
| 2 | 1.56 | 20.2 |
| 3 | 1.24 | 20.5 |
| 4 | 1.91 | 21.9 |
| 5 | 2.37 | 21.7 |
| 6 | 1.87 | 21.9 |
| 7 | 1.98 | 21.9 |
| 8 | 2.13 | 21.9 |
| 9 | 2.24 | 21.7 |
| 10 | 2.47 | 21.8 |
| 11 | 1.86 | 21.8 |
由表 1得,当τ=3时,STD(S(t))最小,STD(PMON(t))与最小的标准差接近,为了保证GRACE与TRMM时间一致,本文后续研究均选取τ=3。
2 实例与结果分析2012年~2014年每年4月在阿富汗地区都发生了重大洪水灾害,本文重点对这3 a的4月份水储量变化和降水量进行研究,以确定阿富汗在这些时期的有效水储量能力及洪水因子。
2.1 阿富汗地区水储量变化及降水特征图 2为2002年4月~2014年4月期间阿富汗地区水储量变化和降水变化时间序列,表明阿富汗地区的最大降水量基本上都在每年的3月~5月,而对应的水储量变化也是最大的;降水异常与水储量变化相差甚大,是导致该地区发生洪水的重要原因。图 2中,实圈表示2012年~2014年每年4月的GRACE总水储量变化及TRMM降水变化。
从空间分布对比2012年~2014年每年的4月阿富汗地区水储量异常与降水量(见图 3)。由图 3可知,阿富汗地区水储量变化及降水量呈现区域性。2012年4月、2013年4月水储量变化最大的是阿富汗的东北区域,最小的是西南区域,但 2014年4月水储量变化最大的是阿富汗的东北区域及东南区域。整个区域水储量变化呈现东部水储量大、西部水储量小的状态,特别是西南地区严重缺水。2012年4月、2013年4月、2014年4月的降水量基本上呈现为中部地区大、西部地区小,尤其是西南地区降水更少。
|
| 图 3 2012年~2014年每年4月阿富汗水储量变化 Fig. 3 Total Water Storage Anomaly from GRACE of April in 2012, 2013 and 2014 in AFG |
水储量不足SDEF,在干燥时期会增大,在湿润时期接近0。当SDEF很小,降水量又很大时,将很可能发生洪水。为了移去水文过程中的区域差异,对SDEF进行归一化,见图 4(b)~4(d)。图 4(b)~4(d)表明,2012年~2014年每年4月,整个阿富汗区域SDEF值都接近于零,表明此时很可能发生洪水,但从空间分布进行分析,确定是否整个区域都可能发生洪水。
|
| 图 4 阿富汗地区最大水储量能力及2012年~2014年每年4月归一化的SDEF结果 Fig. 4 The Maximum Storage Capacity for the AFG and Normalized Storage Deficit SDEF of April in 2012,2013 and 2014 |
因此,本文利用洪水因子对阿富汗区域发生洪水的可能性进行深入研究。首先,根据式(5)~式(7)确定的最优前置时间τ=3,根据式(9)构建洪水因子时间序列(见图 5),结果显示:2012年4月、2013年4月及2014年4月的洪水因子F*均在0.8左右,表明该区域在上述三个时间内极可能发生洪水(图 5中,红色点表示2012年4月、2013年4月和2014年4月)。其次,获取阿富汗区域在该3个时间的洪水因子F*空间分布,并与实际观测结果进行比对(见图 6~图 8),结果表明:(1)2012年4月、2013年4月、2014年4月的洪水因子F*在阿富汗的北部区域接近1,在西南区域接近0,显示阿富汗的北部区域在该段时间很可能发生洪水,而西南区域极有可能发生干旱,这与前面研究结果得到该地区的水储量能力较小以及降水减少相一致;(2)将2012年4月、2013年4月、2014年4月的洪水因子F*与中国气象局国家气候中心观测图对比,发现洪水因子从时间和空间角度都真实地反应了阿富汗地区发生的洪水,且与实际相符,从而表明其有望对该区域洪水进行预警。
|
| 图 5 洪水因子时间序列 Fig. 5 Time Series of the Flood Potential Index F* |
|
| 图 6 2012年4月阿富汗区域的洪水因子F*和中国气象局国家气候中心观测图 Fig. 6 Flood Potential Index F* for April 2012 in the AFG and National Climate Center of China Flood Maps |
|
| 图 7 2013年4月阿富汗区域的洪水因子F*和中国气象局国家气候中心观测图 Fig. 7 Flood Potential Index F* for April 2013 in the AFG and National Climate Center of China Flood Maps |
|
| 图 8 2014年4月阿富汗区域的洪水因子F*和中国气象局国家气候中心观测图 Fig. 8 Flood Potential Index F* for April 2014 in the AFG and National Climate Center of China Flood Maps |
本文基于GRACE卫星重力数据,提出利用改进的水储量不足来量化阿富汗地区的陆地水储量能力;进一步,联合TRMM降水数据,建立阿富汗洪水因子模型,并与中国气象局国家气候中心的观测结果进行对比。研究结果表明,基于改进的水储量不足可以有效地量化区域陆地水储量能力;联合改进的水储量不足和降水数据确定的洪水因子,可从时间和空间尺度上真实地反应区域发生的洪水。因而,联合GRACE和TRMM卫星观测数据有望实现洪水预警,为研究洪涝灾害开辟了新的途径。
区域洪水受诸多因素的影响,如暴雨、季风降雨、潮汐浪涌以及冰雪融化。本文基于GRACE总的水储量变化以及TRMM降水数据研究阿富汗发生洪水的可能性,并未探讨冰雪融化对发生洪水的影响。虽然洪水属于短时间的突发事件,主要与天气尺度变化相关(降水),而冰川消融是渐变事件,主要与气候(尺度)变化相关(全球变暖),但阿富汗的东北区域与我国青藏高原相接,存在很多冰川,冰川消融对该区域水储量变化会产生一定的影响。因此,本文后续将对上述问题作进一步的研究。
致谢:感谢美国德克萨斯大学空间研究中心(CSR)提供GRACE RL05时变重力场模型,NASA提供TRMM降水数据。
| [1] | Alsdorf D E, Rodriguez E, Lettenmaier D P. Measuring Surface Water from Space[J]. Rev Geophys, 2007, 45,DOI:10.1029/2006RG000197 |
| [2] | Hossain F, Lettenmaier D P. Flood Prediction in the Future:Recognizing Hydrologic Issues in Anticipation of the Global Precipitation Measurement Mission[J]. Water Resour Res, 2006, 42, DOI:10.1029/2006WR005202 |
| [3] | Kerr Y H, Waldteufelm P, Wigneron J P, et al. Soil Moisture Retrieval from Space:The Soil Moisture and Ocean Salinity (SMOS) Mission[J]. IEEE Trans Geosci Remote Sens, 2001, 39:1 729-1 735 |
| [4] | Tapley B D, Bettadpur S, Ries J C, et al. GRACE Measurements of Mass Variability in the Earth System[J]. Science, 2004, 305:503-505 |
| [5] | Ramillien G, Famiglietti J S, Wahr J. Detection of Continental Hydrology and Glaciology Signals from GRACE:A Review[J]. Surv Geophys, 2008, 29:361-374 |
| [6] | Syed T H, Famiglietti J S, Rodell M, et al. Analysis of Terrestrial Water Storage Changes from GRACE and GLDAS[J]. Water Resour Res, 2008, 44, DOI:10.1029/2006WR005779 |
| [7] | Crowley J W, Mitrovica J X, Bailey R C,et al. Land Water Storage Within the Congo Basin Inferred from GRACE Satellite Gravity Data[J]. Geophys Res Lett, 2006, 33, DOI:10.1029/2006GL027070 |
| [8] | Reager J T, Famiglietti J S. Global Terrestrial Water Storage Capacity and Flood Potential Using GRACE[J]. Geophys Res Lett, 2009, 36(23):195-215 |
| [9] | Syed T H, Famiglietti J S, Chambers D. GRACE-Based Estimates of Terrestrial Freshwater Discharge from Basin to Continental Scales[J]. J Hydromet, 2009, 10:22-40 |
| [10] | Hu Xiaogong, Chen Jianli, Zhou Yonghong. Monitoring Seasonal Changes in the Yangtze River Water Storage by GRACE Space Observations[J]. Science in China Ser D Earth Sciences, 2006, 36(3):225-232 (胡小工,陈剑利,周永宏. 利用GRACE 空间重力测量监测长江流域水储量的季节性变化[J]. 中国科学D 辑, 2006, 36(3):225-232) |
| [11] | Chao Nengfang, Wang Zhengtao, Chao Dingbo, et al. Monitoring Water Storage Change of Yangtze River Basin from GRACE RL05 Model[J]. Science of Surveying and Mapping, 2014, 39(6):40-43(超能芳,王正涛,晁定波,等. 利用GRACE RL05模型监测长江流域水储量变化[J]. 测绘科学,2014,39(6):40-43) |
| [12] | Rodell M, Velicogna I, Famiglietti J. Satellite-Based Estimates of Groundwater Depletion in India[J]. Nature, 2009, 460:999-1 002 |
| [13] | Famiglietti J S, Lo M, Ho S L, et al. Satellites Measure Recent Rates of Groundwater Depletion in California's Central Valley[J]. Geophys Res Lett, 2011, 38, DOI:10.1029/2010GL046442 |
| [14] | LiQiong, Luo Zhicai, Zhong Bo, et al. Terrestrial Water Storage Change of the 2010 Southwest China Drought Detected by GRACE Temporal Gravity Field[J]. Chinese J Geophys, 2013, 56(6):1 843-1 849(李琼,罗志才,钟波,等. 利用GRACE时变重力场探测2010年中国西南干旱陆地水储量变化[J]. 地球物理学报,2013,56(6):1 843-1 849) |
| [15] | Crowley J W, Mitrovica J X, Bailey R C, et al. Land Water Storage Within the Congo Basin Inferred from GRACE Satellite Gravity Data[J]. Geophys Res Lett, 2006, 33, DOI:10.1029/2006GL027070 |
| [16] | Wagner C D, McAdoo J. Degradation of Geopotential Recovery from Short Repeat-Cycle Orbits:Application to GRACE Monthly Fields[J]. J Geod, 2006, 80:94-103 |
| [17] | Heiskanen W A, Moritz H. Physical Geodesy[M]. San Francisco:Freeman, 1967 |
| [18] | Cheng M K, CRies J, Tapley B D. Variations of the Earth's Figure Axis from Satellite Laser Ranging and GRACE[J]. J Geophys Res, 2011, 116, DOI:10.1029/2010JB000850 |
| [19] | Wu X, Ray J, Dam T V. Geocenter Motion and Its Geodetic and Geophysical Implications[J]. J Geodyn, 2012, 58:44-61 |
| [20] | Wahr J, Molenaar M, Bryan F. Time Variability of the Earth's Gravity Field:Hydrological and Oceanic Effects and Their Possible Detection Using GRACE[J]. J Geophys Res, 1998, 103:30 205-30 229 |
| [21] | Chao B F. On Inversion for Mass Distribution from Global (Time-Variable) Gravity Field[J]. J Geodyn, 2005, 39:223-230 |
| [22] | Farrell W E. Deformation of the Earth by Surface Loads[J]. Rev Geophys Space Phys, 1972, 10(3):761-797 |
| [23] | Chen J L, Wilson C R., Seo K. W. S2 Tide Aliasing in GRACE Time-Variable Gravity Solutions[J]. J Geod, 2009, 83:679-687 |
| [24] | Ogawa R, Chao B F, Heki K. Acceleration Signal in GRACE Time-Variable Gravity in Relation to Inter-annual Hydrological Changes[J]. Geophys J Int, 2011, 184:673-679 |
| [25] | Wahr J, Swenson S, Velicogna I. Accuracy of GRACE Mass Estimates[J]. Geophys Res Lett, 2006, 33(6):178-196 |
| [26] | Swenson S C, Wahr J. Post-Processing Removal of Correlated Errors in GRACE Data[J]. Geophys Res Lett, 2006, 33, DOI:10.1029/2005GL025285 |
| [27] | Zhang Z Z, Chao B F, Yang L, et al. An Effective Filtering for GRACE Time-Variable Gravity:Fan Filter[J]. Journal of Geophysical Research, 2009, 36(17):1 397-1 413 |
| [28] | Landerer F W, Swenson S C. Accuracy of Scaled GRACE Terrestrial Water Storage Estimates[J]. Water Resour Res, 2012, 48, DOI:10.1029/2011WR011453 |
| [29] | Paulson A, Zhong S, Wahr J. Limitations on the Inversion for Mantle Viscosity from Postglacial Rebound[J]. Geophys J Int, 2007, 168:1 195-1 209 |
| [30] | Huffman G J. The TRMM Multisatellite Precipitation Analysis (TMPA):Quasi-Global, Multiyear, Combined-Sensor Precipitation Estimates at Fine Scales[J]. J Hydrometeorol, 2007, 8:38-55 |
| [31] | Zhu Guangbin, Li Jiancheng, Wen Hanjiang, et al. Investigation on the Mass Variations of Ice Sheet in Antarctic with GRACE Time-Variable Gravity Models[J]. Geomatics and Information Science of Wuhan University, 2009, 34(10):1 185-1 189(朱广彬,李建成,文汉江,等. 利用GRACE时变位模型研究南极冰盖质量变化[J]. 武汉大学学报·信息科学版,2009,34(10):1 185-1 189) |
2016, Vol. 41

