文章信息
- 丁玉琦, 邵振峰, 胡石元
- DING Yuqi, SHAO Zhenfeng, HU Shiyuan
- 一种云模型和期望最大聚类的遥感影像分割算法
- Combined with Cloud Model and EM Clustering for Remote Sensing Image Segmentation
- 武汉大学学报·信息科学版, 2015, 40(6): 721-726
- Geomatics and Information Science of Wuhan University, 2015, 40(6): 721-726
- http://dx.doi.org/10.13203/j.whugis20130483
-
文章历史
- 收稿日期:2013-09-09
2. 武汉大学资源与环境科学学院, 湖北 武汉 430079
2. School of Resource and Environmental Sciences, Wuhan University, Wuhan 430079, China
遥感影像成像过程中受传感器、大气折光和地球曲率等因素的影响,使得不同的地物在遥感影像上的表达具有一定的不确定性,使得同谱异物、异物同谱的现象大量存在,因此需要研究影像分割中的不确定性问题[1]。目前,影像分割中的不确定性问题主要分为随机性和模糊性两个方面。随机性主要通过概率统计的方法来解决。该方法将影像中每个像素点的灰度值视为具有一定概率分布的随机变量,在统计学的角度上对影像进行建模,其中马尔可夫随机场是最常用的一种方法[2, 3, 4]。而模糊性主要是采用模糊理论来解决,通过计算每个像素点对目标类的隶属度来判断。模糊C均值是一种常用的将模糊性考虑在内的影像分割方法[5, 6, 7]。但是当前的这两类研究中均是顾及单一不确定性因素的影响,仍缺乏将这两方面的不确定性统一考虑的系统研究。
云模型[8]考虑了模糊性和随机性之间的关联性,可以在定性概念和定量数据之间相互转化。在影像分割领域中采用云模型已取得一定成果[9, 10, 11, 12, 13]。基于云模型的遥感影像分割算法一般分为三个步骤,首先对遥感影像进行底层概念抽取,然后进行底层概念跃升,最后对像素进行概念判别[9]。
现有的基于云模型的遥感影像分割算法中一般采用层次聚类算法来进行云概念综合。但是层次聚类算法的时间复杂度比较高,需要用户给定一个迭代停止条件,而且一旦合并或者分裂的步骤完成了就不能改变,不具备再分性。期望最大(expectation maximization,EM)聚类算法能够快速地将概念进行聚类,时间复杂度低,且每次迭代更新参数时都会重新进行聚类,具有可再分性。因此,本文采用期望最大算法来代替层次聚类算法对云概念进行聚类。
1 云模型
设一个用精确数值表示的定量论域 U,C为U上的定性概念。若对于定量值x∈U,且x是定性概念C的一次随机实现,x对定性概念C的确定度CT(x)是在[0, 1]内具有稳定倾向的随机数:

称x在论域上的分布为云模型,每一个x成为云模型中的一个云滴[8]。
云模型具有期望Ex、熵En和超熵He三个数学特征,通过三个数学特征可以勾画出由海量云滴组成的云模型。
图 1为云模型示意图,其中期望Ex=0,熵En=4,超熵He=0.4,云滴数量n=1 000。
|
| 图 1 云模型(0,4,0.4,1 000) Fig. 1 Cloud Model(0,4,0.4,1 000) |
云发生器和云变换是云模型中的基本理论。云发生器是完成定量数据与定性概念相互转换的工具。云变换是将定量数据转化为定性概念的一种方法,可以将连续的数值空间转化为离散的概念。
在云模型的理论中,云综合就是将两个或多个相同类型的子云模型进行综合,生成一个新的高层概念的父云模型。它的本质是一种概念的提升,将两个或者两个以上的同类型概念综合为一个更为广义的概念。“积分法”云综合是最常用的云综合算法[8]。
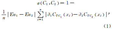
由于云概念是在模糊理论的基础上发展而来的,所以根据模糊理论中的相关概念来表述云概念距离的计算方法。
设C1(Ex1,En1,He1)、C2(Ex2,En2,He2)是论域U上的两个云概念,其贴近度计算公式如下:

其中,CTC1 xi 是论域中的云滴xi隶属于云概念C1的隶属度;CTC2 xi 是论域中的云滴xi隶属于云概念C2的隶属度;∂1、∂2分别代表云概念C1、C2的幅度系数;En1、En2 分别代表云概念C1、C2的熵。
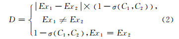
由于云概念的贴近度反映了两个云概念之间的接近程度,因此两个云概念之间的距离可以表示为:

2 基于云模 型和EM聚类的遥感影像分割算法
传统的基于云模型的影像分割算法的主要思想是将影像视为一系列底层云概念的集合,然后通过聚类的方法将底层云概念提升为高层云概念,最后计算每个像素在每个高层云概念中的确定度来判别其归属于哪个类别。其中最为关键的一步就是进行底层云概念到高层云概念的聚类过程。本文根据影像的统计特性,采用峰值法云变换抽取影像底层云概念;然后采用EM算法对影像底层云概念进行聚类,生成高层云概念;最后通过极大判别法来判断每个像素的类别归属。
2.1 底层概念抽取
影像底层概念抽取是将影像进行云变换的过程,即将影像的灰度值转换为相对应的云概念。
从实际情况可知,影像的像素频率分布中的局部极大值点往往是某一类别的中心,且频率高的像素所代表的意义要大于频率低的像素,所以影像底层概念的抽取可视为用若干个正态云模型来拟合影像的灰度直方图。
本文采用峰值法云变换来进行影像底层概念抽取,其步骤如下:
1) 读取遥感影像,对其像素单元进行灰度值统计,生成灰度直方图,其灰度分布函数为 f(x);
2) Ex的确定。寻找灰度分布函数f(x)的波峰所在的位置,将其定义为云模型的重心位置,即Exi(i=1,…,m),其中m为波峰的个数;
3) En的确定。在以期望Exi为中心的邻域灰度分布计算出拟合的云模型的熵Eni;
4)欢欣鼓舞通过云期望曲线公式,计算相应云模型的数据分布函数
;
5) 求阈值
;
6) 重复步骤2),直到满足一定阈值。
其中在进行峰值法云变换时,一般会将He设定为一个定值,然后根据拟合结果加以调整。
2.2 EM聚类
由于影像的底层云概念已知,但是其真实的类别是未知的,于是底层云概念聚类可视为一个不完全数据问题。EM算法通过迭代的方法来解决不完全数据问题的算法[14, 15, 16],已经被证明在进行高斯混合模型问题的求解中有很好的效果[17, 18, 19]。
在对底层云概念进行聚类时,可以先产生一个初始的分类,然后通过这个初始的分类来估计得到高层云概念的数学特征,再迭代进行,直到满足一定的条件。 已知底层云概念Ci(i=1,…,m),需要得到高层云概念为Cj(j=1,…,n),则聚类个数为n。假设底层云概念的类别分布为x,高层云概念的数学特征θ= Ex,En,He ,根据最大后验概率准则,将该类别分布x的后验概率最大转化为高层云概念与所属类别的底层云概念的距离和最小,于是聚类问题就转化为求在x分布情况下云概念聚类最小的问题,如式(3)所示:

将式(3)可以分为两步:一是在给出 的情况下,求得使距离最小的类别 ;二是在上步求得最小距离的类别 时,求得使距离最小的参数 。

可 以看出,这是一个迭代的过程,于是EM算法进行云概念聚类可以归纳为:在E步求解最小云距离,在M歩对高层云概念的数学特征进行更新。
本文采用EM算法进行云概念聚类的具体流程(见图 2)如下。
|
| 图 2 EM算法进行云概念聚类 Fig. 2 Cloud Model Clustering via EM Algorithm |
1) 设有n个类别的高层云概念Cj θj=Exj,Enj,Hej ,j=1,…,n,计算底层云概念与每个高层云概念之间的距离。将距离最小的情况视为底层云概念的类别判断依据,即将底层云概念分到那个与其有最小云距离的高层云概念的类别中。按照这种依据,得到初始类别x0:

2) 根据分类结果x0将所属类别的底层云概念采用云综合算法进行综合,生成新的高层云概念的数学特征 :

3) 计算底层云概念与新的高层云概念之间的距离,得到新的分类 :

4) 重复步骤2)~3),直到Distance的变化小于阈值为止。 2.3 概念判别
基于云模型的遥感影像分割算法的分割实质是对遥感影像中的像素进行概念判别,判断其属于哪个概念。本文采用极大判别法作为概念判别方法,其基本思想是:以影像中的像素灰度值为观测值,将其分别代入由高层云概念数学特征组成的云发生器中,得到该像素在该高层云概念中的隶属度,然后从其中选取隶属度最大的高层云概念作为该像素所隶属的影像概念。图 3为极大判别法示意图。
|
| 图 3 极大判别法示意图 Fig. 3 Great Criterion |
以两组实验来验证本文算法的有效性和适应性。第一组是泰州地区的航空影像,该影像由 SWDC-4拍摄,波段为RGB,影像的地面分辨率为0.1 m,获取时间为2009年。泰州地区的高程起伏不大,总体地势为平地,在泰州地区选取两幅包含不同地物类型的影像,如图 4所示。影像a以农田、水域和道路三种地物类型为主,还存在部分居民地等地物;影像b以居民地和道路为主,还有部分植被等。这组实验主要是针对不同的地物类别来对影像进行处理,同时将本文算法与层次聚类算法做对比。第二组是武汉地区的航天影像,该影像由资源三号卫星获取,影像的全色波段分辨率为2.1 m。其中将波段3、2、1按RGB进行真彩色融合,得到的影像如图 5所示,影像的获取时间为2012年。这组实验是对不同分辨率的遥感影像进行处理,证明算法的有效性。本文以第一组实验为例,给出主要的实验步骤,第二组实验给出相应的结果。
|
| 图 4 泰州地区实验影像 Fig. 4 Images of Taizhou Area |
|
| 图 5 武汉地区实验影像 Fig. 5 Images of Wuhan Area |
1) 从§2.1可知,影像的底层云概念抽取的实质是用若干个正态云模型来对影像的灰度直方图进行拟合。图 6所示为影像的灰度直方图。
|
| 图 6 影像灰度直方图 Fig. 6 Image Histogram |
按照峰值法云变换的步骤,可以得到影像的底层云概念,其中底层云概念用云期望曲线表示,如图 7所示。其中影像a提取底层云概念119个,影像b提取底层云概念118个。
|
| 图 7 峰值法云变换生成底层概念 Fig. 7 Generated Bottom Cloud Concepts via Peak Method of Cloud Transform |
2)采用EM算法对底层云概念进行聚类。在实验中指定聚类个数为5个。层次聚类算法每次迭代将两个云概念进行合并,以影像a为例,需要进行113次迭代,而采用EM算法进行10次迭代后就趋于稳定。其中EM算法收敛结果如图 8所示。同理,对于影像b,在经过6次迭代之后,云概念距离的变化就趋于稳定。
|
| 图 8 EM算法收敛 Fig. 8 EM Algorithm to Converge |
表 1为影像a、b分别通过层次聚类和EM聚类算法生成的高层云概念的数学特征,也可以视为影像的聚类中心。通过高层云概念来对每个像素进行极大判别法,就可以得到每个像素的类别,继而完成影像分割。
3)采用极大判别法对遥感影像进行分割,具体通过判断像素属于高层云概念来完成分割,实验结果如图 9、图 10所示。
|
| 图 9 泰州地区影像实验结果 Fig. 9 Experimental Results of Taizhou Images |
|
| 图 10 武汉地区影像实验结果 Fig. 10 Experimental Results of Wuhan Images |
从实验结果中可以看出,在不同的地物类型和不同的分辨率下,本文算法都能较好地对影像 进行分割。如图 11、图 12所示,影像a中水域部 分通过层次聚类法并没有很好地分割出来,而EM算法可以取得更好的分割效果。在以建筑物为主的影像b中,层次聚类算法不能很好地将道路分割出来,而EM算法可以很好地将道路分割出来,并且能将斑马线与道路很好地分割出来。
| 高层云概念 | 层次聚类 | EM聚类 | ||||||||||
| 影像a | 影像b | 影像a | 影像b | |||||||||
| Ex | En | He | Ex | En | He | Ex | En | He | Ex | En | He | |
| 1 | 24.6 | 8.78 | 0.17 | 14.1 | 9.17 | 0.19 | 31.2 | 14.2 | 0.17 | 39.7 | 17.7 | 0.16 |
| 2 | 74.6 | 18.3 | 0.17 | 59.1 | 12.8 | 0.16 | 86.7 | 14.7 | 0.17 | 92.6 | 14.4 | 0.17 |
| 3 | 149.8 | 11.2 | 0.17 | 117.2 | 8.09 | 0.17 | 127.7 | 9.7 | 0.18 | 143.3 | 9.79 | 0.17 |
| 4 | 196.9 | 5.86 | 0.18 | 170.0 | 14.4 | 0.17 | 163.3 | 13.6 | 0.17 | 168.4 | 8.84 | 0.17 |
| 5 | 238.5 | 12.1 | 0.13 | 232.2 | 16.2 | 0.14 | 221.7 | 13.8 | 0.13 | 210.1 | 16.4 | 0.13 |
|
| 图 11 影像a实验结果对比 Fig. 11 Contrast of Results of Image a |
|
| 图 12 影像b实验结果对比 Fig. 12 Contrast of Results of Image b |
本文将云模型和EM聚类算法相结合,提出了一种基于云模型和EM聚类的遥感影像分割算法。该方法从云模型的基本概念出发,将影像的定量数据转化为定性概念,从概念的层面上来进行聚类,完成影像分割,解决了遥感影像分割中存在的不确定性问题和传统层次聚类算法中存在的时间复杂度高、不可再分性等缺点。
实验表明,层次聚类算法的复杂度要高于EM算法的复杂度,在指定概念个数的情况下,EM算法可以很快地得到高层云概念的数学特征。当底层云概念个数过多时,EM聚类效果显得尤为明显。
本文中影像的处理单元基于像素进行分割,目前高分辨率遥感影像成为主流,面向对象的影像处理思想也日益成熟,下一步的研究将考虑在面向对象的情况下来进行云概念的表达和聚类。
| [1] | Wilson R, Spann M. Image Segmentation and Uncertainty[M]. New York:John Wiley & Sons, 1988 |
| [2] | Geman S, Geman D. Stochastic Relaxation, Gibbs Distributions and the Bayesian Restoration of Images[J]. IEEE Transactions on Pattern Analysis and Machine Intelligence, 1984, 6 (6):721-741 |
| [3] | Li Xuchao, Zhu Shan'an, A Survey of the Markov Random Field Method for Image Segmentation[J]. Journal of Image and Graphics, 2007,12(5):789-798(李旭超,朱善安.图像分割中的马尔可夫随机场方法综述[J]. 中国图像图形学报,2007,12(5):789-798) |
| [4] | Liu S, Li X, Li Z. A New Image Segmentation Algorithm Based on the Fusion of Markov Random Field and Fuzzy C-means Clustering[C]. IEEE International Symposium on Communications and Information Technology, Beijing, China, 2005 |
| [5] | Lim Y W, Lee S U. On the Color Image Segmentation Algorithm Based on the Thresholding and the Fuzzy C-means Techniques[J]. Pattern Recognition, 1990, 23(9):935-952 |
| [6] | Chuang K S, Tzeng H L, Chen S, et al. Fuzzy C-means Clustering with Spatial Information for Image Segmentation[J]. Computerized Medical Imaging and Graphics, 2006, 30(1):9-15 |
| [7] | Chen W C S, Zhang D. Fast and Robust Fuzzy C-means Clustering Algorithms Incorporating Local Information for Image Segmentation[J]. Pattern Recognition, 2007, 40(3):825-838 |
| [8] | Li Deyi, Du Yi. Artificial Intelligence with Uncertainty[M]. Beijing:National Defense Industry Press,2005(李德毅,杜鹢.不确定性人工智能[M].北京:国防工业出版社,2005) |
| [9] | Qin Kun, Li Deyi, Xu Kai. Image Segmentation Based on Cloud Model[J]. Journal of Geomatics, 2006,31(5):3-5(秦昆,李德毅,许凯.基于云模型的图像分割方法研究[J].测绘信息与工程,2006, 31(5):3-5) |
| [10] | Qin Kun, Xu Min. Remote Sensing Image Segmentation Based on Cloud Model and FCM[J]. Geo-Information Science, 2008, 10(3):302-307(秦昆,徐敏.基于云模型和FCM聚类的遥感图像分割方法[J].地球信息科学,2008,10(3):302-307) |
| [11] | Li Gang, Wan Youchuan. Object-oriented Classification Method Based on Quotient Space Theory[J]. Opto-Electronic Engineering, 2011, 38(2):108-114(李刚, 万幼川. 商空间理论下面向对象的遥感影像分类[J]. 光电工程, 2011, 38(2):108-114) |
| [12] | Xu Kai, Qin Kun, Huang Bohe, et al. A New Method of Region Based on Segmentation Based on Cloud Mode[J]. Journal of Image and Graphics, 2010, 15(5):757-763(许凯, 秦昆, 黄伯和, 等. 基于云模型的图像区域分割方法[J]. 中国图像图形学报, 2010, 15(5):757-763) |
| [13] | Wu Zhaocong, Qin Maoyun, Zhang Xiao. A Cloud-Model-Based Remote Sensing Image Segmentation Concerned with Geometrical Features[J]. Geomatics and Information Science of Wuhan University, 2008, 33(9):939-942(巫兆聪, 覃茂运, 张潇. 一种顾及几何特征的云模型遥感影像分割方法[J]. 武汉大学学报·信息科学版, 2008, 33(9):939-942) |
| [14] | Dempster A P, Laird N M, Rubin D B. Maximum Likelihood from Incomplete Data Via the EM Algorithm[J]. Journal of the Royal Statistical Society. Series B (Methodological), 1977,39(1):1-38 |
| [15] | Zhang Y, Brady M, Smith S. Segmentation of Brain MR Images Through a Hidden Markov Random Field Model and the Expectation-Maximization Algorithm[J]. IEEE Transactions on Medical Imaging, 2001, 20(1):45-57 |
| [16] | Carson C, Belongie S, Greenspan H, et al. Blobworld:Image Segmentation Using Expectation-Maximization and Its Application to Image Querying[J]. IEEE Transactions on Pattern Analysis and Machine Intelligence, 2002, 24(8):1 026-1 038 |
| [17] | Redner R A, Walker H F. Mixture Densities, Maximum Likelihood and the EM Algorithm[J]. SIAM Review, 1984, 26(2):195-239 |
| [18] | Guan T, Wang H, Wang Y. Self-Growing Regularized Gaussian Mixture Models for Image Segmentation[C]//Proceedings of the 2012 International Conference on Communication, Electronics and Automation Engineering. Berlin,Heidelberg:Springer, 2013,181:577-582 |
| [19] | Guan T, Xue T. Image Segmentation Based on Multiscale Initialized Gaussian Mixtures[C]//Proceedings of the 2012 International Conference on Communication, Electronics and Automation Engineering. Berlin,Heidelberg:Springer, 2013,181:955-959 |
2015, Vol. 40

