文章信息
- 林达, 徐新, 董浩, 谢文涛
- LIN Da, XU Xin, DONG Hao, XIE Wentao
- 一种有效的MSTAR SAR图像分割方法
- An Effective Segmentation Algorithm for MSTAR SAR Target Chips
- 武汉大学学报·信息科学版, 2015, 40(10): 1377-1380,1385
- Geomatics and Information Science of Wuhan University, 2015, 40(10): 1377-1380,1385
- http://dx.doi.org/10.13203/j.whugis20130572
-
文章历史
- 收稿日期: 2013-12-24

合成孔径雷达(synthetic aperture radar,SAR)作为一种主动微波遥感系统,可以全天候、全天时地获取高分辨率、包含极化信息的地面遥感图像数据,与多光谱遥感具有良好的互补性,已经在军事和民用领域发挥着越来越重要的作用。然而,人们对SAR图像的解译能力还远远滞后于对SAR图像的获取能力,因此研究有效的SAR图像分割方法就显得迫在眉睫[1]。
Blei等[2]提出了潜在狄利克雷分配模型(latent Dirichlet allocation,LDA);Cao和Li[3]在LDA模型的基础上提出了空间潜在狄利克雷分配模型(spatial-LDA,sLDA),通过引入空间相关性的概念,有效地将目标图像进行了分割,但此算法仅仅考虑了过分割图像区域中图像块的空间相关性,认为过分割图像区域是独立产生的;文献[4, 5]提出通过引入MRF(Markov random field)可以提高主题模型的分割性能。鉴于此,本文将MRF引入到sLDA中,通过加入MRF非本地的高阶先验来表达图像区域的空间相关性。
在MRF能量优化方面,本文采用的是非本地的高阶先验,文献[6]表示传统Graph-Cut算法和Max-flow/Min-cut算法的组合已经得不到全局最优解,针对这一问题,本文将Graph-Cut算法和Branch-and-Bound算法[7]相结合,利用Branch-and-Bound算法来查找Graph-Cut算法所建立图模型的最小割,得到最终的分割结果。
1 语义模型 1.1 LDA模型在概率潜在语义分析模型(probabilistic latent semantic analysis,pLSA)中[8],图像概率值与特定图像相关,这导致待估计参数的数量随着图像数量的增加而线性增长,相应会导致过拟合。与pLSA主题模型相比,LDA主题模型是一种完全的生成模型,该模型将主题混合权重视为T维参数的潜在随机变量,而非与训练数据直接联系的个体参数集合,克服了 pLSA 模型的不足。LDA 主题模型的贝叶斯网格图如图1所示,其中,α和β为模型的先验参数。
|
| 图 1 LDA模型的贝叶斯网格图 Fig. 1 Bayesian Network of LDA |
LDA模型的概率表示如式(1):

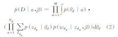
对于整个图像集D,计算式(1)的边缘概率得:

式中,D代表一个语料库;M代表语料库中文档的总数。不难看出,LDA对图像的建模实际上是要对α和β这两个参数进行估计。参数估计方面可以采用的方法有变分推理、马尔科夫链蒙特卡罗采样(Markov chain Monte Carlo,MCMC)、期望-传播等方法[2, 9, 10]。
1.2 sLDA模型LDA模型最主要的缺点在于假设图像中每个图像块是独立产生的,赋予其相应的潜主题,虽然这样的假设使得计算高效易行,但没能有效表达视觉上连贯的图像。相反,sLDA模型通过过分割图像区域中的显著图像块来表达图像,同时只有一个单一的潜主题被分配给每个区域内的图像块,使其能够执行模型的空间相干性,这样就有效利用了图像中图像块的空间相关性,由模型可得联合分布为:

式中,α、β是模型的先验参数;Pr(zr|θ)是多项分布的联合分布函数;Pr(θ|λ)是K维狄利克雷分布的联合分布函数。对于单幅图像,其似然值为:

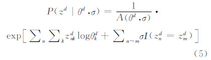
在sLDA方法中,只考虑了相同图像区域中图像块的空间相关性,而假定各个图像区域是独立产生的,这样,图像区域的空间相关性就没能得到有效利用。此外,文献[4]指出,只利用相同图像区域中图像块的空间相关性并不能取得令人满意的效果,若将图像区域的空间相关性也考虑在内,可明显提高分割精度。基于以上几点,本文方法在sLDA模型的基础上引入MRF来表达图像区域的空间相关性,同时由于一幅图像中图像区域的数量很小,所以在引入MRF模型后处理时间并没有显著增加。具体来说,就是将式(3)中的 Pr(zr|θ)项替换成式(5)的MRF先验:

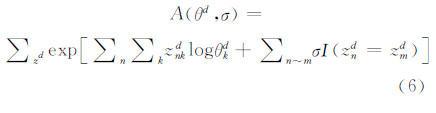
式中,I表示指示函数;n~m表示znd和zmd在图模型中是相连接的;A(θd,σ)是归一化因子,其具体形式为:

图像分割的主要目的是对图像中的内容进行标记,这一过程通常利用贝叶斯框架中的最大后验准则来实现,此时往往会转化为能量的最小化问题,即优化算法。由于本文方法采用的是非本地的高阶先验,所以传统Graph-Cut算法和Max-flow/Min-cut算法的组合容易陷入局部最优,无法完成最优解的查找。针对这一问题,本文将Graph-Cut算法和Branch-and-Bound算法相结合,利用Graph-Cut算法建立待处理图像的概率图模型,使得该图的割值与新标号场的能量之间满足一定的关系,然后利用Branch-and-Bound算法寻找最小分割,得到最终的分割结果。定义其能量泛函为:

式中,C(ω)为数据项,描述的是图像的区域信息;Fp(ω)、Bp(ω)为标号代价项,描述的是像素p和q分别属于不同标号集时的惩罚值;Ppq(ω)为平滑项,描述的是图像的边缘信息,其中,ω∈Ω,Ω是形状先验的乘积空间。
3 算法流程1) 利用文献[11]所述的分水岭算法对SAR图像数据进行过分割操作,得到过分割图像区域。
2) 对过分割后的图像进行图像区域级和像素级的特征提取,为一般起见,使用SAR图像各像素点的灰度统计特征作为像素级特征,Gabor特征作为图像区域级特征。
3) 对MSTAR SAR图像建立本文所提出的模型,得到能量泛函,并将提取得到的图像区域级和像素级特征作为能量泛函的数据项。
4) 在平滑代价项的选取上,本文使用 Potts 模型[12],由于 Potts 模型的惩罚项将标号场的不一致性考虑在内,所以本文采用四邻域来对像素点的空间关系进行描述。
5) 在标号代价项的选取上,本文使用各子块对应的标号统计概率,具体流程如图2 所示。
|
| 图 2 算法流程图 Fig. 2 Flow Chart of Our Proposed Method |
MSTAR数据库是由美国国防高级研究计划署和空军实验室提供的,意在作为实测SAR地面静止军用目标车辆数据。数据集通过X波段、0.3 m ×0.3 m高分辨率聚束式、HH极化方式采集所得,图 像大小为128像素×128像素。本文采用一系列 MSTAR SAR图像作为实验数据,将图像中的目标车辆、背景区域及阴影区域区分开来作实验。首先由多名SAR图像解译专家对实验图像进行手工标注,得到标准分割结果(ground truth,GT),最终实验结果如图3所示,选用其中5幅具有代表性的数据进行说明。从图3可以看出,sLDA容易将目标、阴影误分成背景,而本文方法则没有出现这种现象,这是由于在表达图像区域中图像块的空间相关性的同时,还利用MRF表达了图像区域的空间相关性,而sLDA只是表达了图像区域中图像块的空间相关性,从而将图像区域产生误分,造成目标形状失真。
|
| 图 3 sLDA与本文方法分割结果 Fig. 3 Image Segmentation Results of sLDA and Our Proposed Method |
本实验基于PEP(percent of error pixels)评价测度,并取平均值,对于分割后大小为m×n的图像X和标准手工分割图像R ,PEP定义如下:
1) 首先求误差图像E,即E=X-R;
2) 计算PEP,其公式如下:

式中,l表示图像E中非零像素的个数。从式(8)可知,PEP的值越接近于0,其对应的分割结果就越好,当等于0时,就是理想情况下的标准分割。
对150幅MSTAR SAR图像的分割结果进行PEP定量评估,结果如图4所示。通过对比可知,本文方法在PEP测度上明显占优,表明了该方法的有效性。
|
| 图 4 实验结果对比 Fig. 4 Comparison of Two Methods’ Performance |
为了提高MSTAR SAR图像分割的准确性,本文将sLDA与MRF相结合,利用MRF表达图像区域的空间相关性,以减少参数估计的复杂度,同时使用Graph-Cut和Branch-and-Bound对能量泛函进行优化,解决了引入非本地高阶先验后传统Graph-Cut算法和Max-flow/Min-cut算法的组合容易陷入局部最优的问题,从而提高了分割的准确性。在MSTAR真实SAR数据上的实验结果表明了所提算法的有效性。
| [1] | Liao Mingsheng, Lin Hui.Synthetic Aperture Radar Interferometry—Principle and Signal Processing[M].Beijing:Surveying and Mapping Press,2003(廖明生,林珲.雷达干涉测量学:原理与信号处理基础[M].北京:测绘出版社,2003) |
| [2] | Blei D M, Ng A Y, Jordan M I. Latent Dirichlet Allocation[J]. Journal of Machine Learning Research, 2003,3(1): 993-1 022 |
| [3] | Cao L L, Li F F. Spatially Coherent Latent Topic Model for Concurrent Segmentation and Classification of Objects and Scenes[C]. IEEE 11th International Conference on Computer Vision, Riode Janeiro,Brazil,2007 |
| [4] | Verbeek J, Triggs B. Region Classification with Markov Field Aspect Models[C]. IEEE Conference on Computer Vision and Pattern Recognition, Minneapolis, Minnesota, USA,2007 |
| [5] | Liu Mengling, He Chu, Su Xin, et al.A pLSA Based on Topo-MRF Model Method for SAR Images Classification[J].Geomatics and Information Science of Wuhan University,2011,36(1):122-125(刘梦玲, 何楚, 苏鑫, 等. 基于 pLSA 和 Topo-MRF 模型的 SAR 图像分类算法研究[J]. 武汉大学学报·信息科学版, 2011, 36(1): 122-125) |
| [6] | Lempitsky V, Blake A, Rother C. Branch-and-mincut: Global Optimization for Image Segmentation with High-level Priors[J]. Journal of Mathematical Imaging and Vision, 2012, 44(3): 315-329 |
| [7] | Lawler E L, Wood D E. Branch-and-Bound Methods: A Survey[J]. Operations Research, 1966, 14(4): 699-719 |
| [8] | Hofmann T. Probabilistic Latent Semantic Analysis[C]//Proceedings of the 15th Conference on Uncertainty in Artificial Intelligence. Stockholm,Sweden:Morgan Kaufmann Publishers Inc, 1999: 289-296 |
| [9] | Griffiths T L, Steyvers M. Finding Scientific Topics[J]. The National Academy of Sciences of the United States of America, 2004, 101(Suppl 1): 5 228-5 235 |
| [10] | Minka T, Lafferty J. Expectation-Propagation for the Generative Aspect Model[C]//Proceedings of the 18th Conference on Uncertainty in Artificial Intelligence. Alberta,Canada:Morgan Kaufmann Publishers Inc, 2002: 352-359 |
| [11] | Bleau A, Leon L J. Watershed-based Segmentation and Region Merging[J]. Computer Vision and Image Understanding, 2000, 77(3): 317-370 |
| [12] | Wu F Y. The Potts Model[J]. Reviews of Modern Physics, 1982, 54(1): 235-268 |
2015, Vol. 40

