快速检索        
  武汉大学学报·信息科学版  2015, Vol. 40 Issue (1): 83-89

文章信息

杨成生, 张勤, 李振洪
YANG Chengsheng, ZHANG Qin, LI Zhenhong
ECMWF资料的边界层伸缩水汽加密算法
Stretched Boundary Layer Water Vapor Interpolation Algorithm for ECMWF Data
武汉大学学报·信息科学版, 2015, 40(1): 83-89
Geomatics and Information Science of Wuhan University, 2015, 40(1): 83-89
http://dx.doi.org/10.13203/j.whugis20130187

文章历史

收稿日期:2014-05-30
ECMWF资料的边界层伸缩水汽加密算法
杨成生1, 张勤1 , 李振洪2    
1. 长安大学地质工程与测绘学院, 陕西 西安, 710054;
2. 纽卡斯尔大学土木工程与地球科学学院, 英国, NE1 7RU
摘要:针对欧洲中期数值天气预报中心(ECMWF)数据在研究小区域气象时空间分辨率较低的问题,研究了基于边界层伸缩的空间水汽加密思想,建立了基于ECMWF的空间水汽、地表气压和地表温度的加密模型。该模型可依据加密区域DEM分辨率实现任意密度的加密结果。利用美国GPS-IPW示范网络中夏季连续两个月的GPS水汽观测值和地表实测气象数据进行了实验,结果表明,该模型结果较ECMWF原始数据,在空间水汽、地表气压和地表温度的精度上均有较大提高。
关键词ECMWF     大气可降水     边界层伸缩     数值气象模式     空间加密    
Stretched Boundary Layer Water Vapor Interpolation Algorithm for ECMWF Data
YANG Chengsheng1, ZHANG Qin1 , LI Zhenhong2    
1. Institute of Geological Engineering and Surveying, Chang'an University, Xi'an 710054, China;
2. School of Civil Engineering and Geosciences, Newcastle University, Newcastle, NE1 7RU, United Kingdom
Abstract:Atmospheric precipitable water vapor is an important element of the meteorological and meteorological disaster forecast. Using the ECMWF data for regional meteorological research is one of the current research focuses. For the problem caused by the low spatial resolution of the ECMWF data in studying the small regional meteorologicala, we studied the ECMWF water vapor interpolation idea with the Stretched Boundary Layer, and we established the model and realized it. This model can be used to interpolate the ECMWF water vapor, surface pressure and surface temperature. We can obtain the results in any density based on region DEM resolution. The model is tested with the GPS water vapor observations and surface meteorological data from the GPS-IPW network of the U.S. The results show that the model can improve the accuracy greatly on the ECMWF water vapor, surface pressure and surface temperature compared to the raw ECMWF data.
Key words: ECMWF     precipitable water vapor     stretched boundary layer     numerical weather model     space interpolation    

大气可降水量(precipitable water vapor,PWV)是气象预报中的一个重要元素,大气水汽的环流异常是气象灾害的重要原因,因此,研究大气水汽空间分布及其变化对气象灾害预报具有极其重要的意义[1]。欧洲中期数值天气预报中心(ECMWF)代表着世界上中短期数值天气预报的最高水平,可以提供每天4次的全球网格点数值气象水汽数据[2, 3, 4, 5],在区域气象预报方面发挥着越来愈重要的作用,也被越来越多的人研究[6, 7, 8, 9]

文献[7]对南极地区无线电探空仪数据和ECMWF水汽进行了研究,发现两者相关程度达0.8以上。文献[10]利用ECMWF和地基GPS水汽数据对非洲季风气候进行了研究,发现两者在5 d至一个月的平均趋势上具有很好的一致性。在国内,文献[11]研究了ECMWF数据在亚洲中纬度地区的预报精度,文献[12]研究了利用ECMWF预报产品对全球季节平均气候异常的可预报性分布和影响因素。以上工作是在较大尺度上对ECMWF数据特性展开研究,回避了ECMWF格网点数据空间密度较稀疏的缺点[13] 。而当利用ECMWF格网点气象数据研究小区域(如市级或单个点)气象预报时,则不可避免地需要面临ECMWF格网点气象数据空间加密的问题。

常规插值方法,如逆距离权倒数、Kriging、双线性内插等,虽可以进行ECMWF水汽的空间加密,但该类空间加密方法主要是在二维空间范围内,考虑距离和地形的影响对已知数据点分配权值,进而求解待插值点的水汽值。此类加密算法模型相对简单,且不具备算法的物理意义。而ECMWF提供了不同等压面上的水汽密度、大气温度、重力位势高等剖线数据,因此,ECMWF数据的空间插值是三维的空间加密问题。同时,ECMWF每一网格点上的气象数据值代表了该分辨单元内不同地形上气象数据值的平均值,而不是指某具体位置上的数据值。因此,常规空间加密算法在此受到了极大的限制。如何利用这些剖线数据以符合大气空间分布特性的方式进行空间加密是不同于以往空间加密算法的新课题。美国喷气动力试验室(Jet Propulsion Laboratory,JPL)学者在2008年欧空局Fringe会议上提出了基于边界层伸缩的ECMWF数据加密思想[14]。该思想以大气质量守恒理论为基础,根据待加密点的地形信息,对ECMWF格网点气压、温度、湿度等剖线进行拉伸或压缩,以达到ECMWF水汽值的空间加密[14, 15, 16, 17]。本文研究并实现了该加密思想,建立了基于边界层伸缩思想的ECMWF水汽插值模型(stretched boundary layer model,SBLM)。该模型可同时实现对大气可降水量、地表气压及地表温度的空间加密,并可随加密区域DEM分辨率的提高获取任意密度的加密结果。同时,本文利用北美洲大陆夏季连续两个月的GPS水汽和地表实测温度、气压对模型的可靠性进行了检验分析。

1 ECMWF数据边界层伸缩加密模型

本文建立的基于边界层伸缩思想的ECMWF水汽插值模型分为两部分进行:一是基于加密点地形的地表气压和温度的空间加密,二是基于边界层伸缩的加密点水汽加密。

1.1 ECMWF气压和温度的空间加密方法

ECMWF是一个由30多个国家或州组成的国际官方组织,它吸收了全球的多种地面和卫星气象数据,并每 6 h发布一次全球气象产品数据。目前,ECMWF可提供37个等气压面的气象数据,最高可达地表50 km以上。本文对气压和温度的空间加密则是利用ECMWF的地表层数据。

ECMWF是以一定空面分辨率的网格点发布全球数据,其中,每一网格点上的地表层温度和气压是其所在分辨单元内不同地形上温度和气压的平均值。为实现任一点上地表温度和气压加密,结合地表温度和气压经验公式先求得ECMWF网格点上地表温度和气压的经验值 Texp和Pexp[18, 19]

其中,h0为0 m;P0为1 013.25 hPa;hs代表加密点海拔高,单位为 m,本文计算时则用到ECMWF提供的格网点位势高。将ECMWF提供的网格点地表温度和气压值Tecmwf,sPecmwf,s与经验值TexpPexp进行比较,获取不符值:

并将此不符值作为分辨单元内各地面点地表温度和气压经验值的补偿值 ,对加密点的温度Ti和气压Pi进行补偿:

此处计算Ti,exp和Pi,exp是用加密点海拔高hi代替式(1)、(2)中的hs,因此,通过式(5)、(6)即可求出加密点上的地表温度Ti和气压Pi。由于在不同的分辨单元内补偿值ΔT与ΔP并不相同,当根据式(1)~(6)进行区域面数据加密时,将会导致相邻分辨单元衔接处出现突变值。如图 1所示,0分辨单元加密后的地表温度和气压,将与其周围相邻8个分辨单元的地表温度和气压在连接边处出现跳变。为了获得空间上平滑的T和P加密面,本文根据加密点坐标与包括其所属单元在内的9个分辨单元的中心点位坐标的距离进行定权,并对ΔTiΔPi(i=0,1,…,8)进行加权平均取值,以达到空间平滑的目的。

图 1 ECMWF气压和温度空间加密相邻单元示意图 Fig. 1 Adjacent Units for ECMWF Pressure and Temperature Spatial Interpolation
1.2 基于边界层伸缩的水汽空间加密算法

根据边界层伸缩加密思想,首先假设大气层中的水汽含量只在地球表面向上一定高度的边界层内受地形起伏的影响(见图 2),而超过一定的高度(即边界层),则大气水汽含量将与地形起伏无关。

图 2 随地形波动气流示意图 Fig. 2 Diagram of Fluctuation Flow with Terrain Fluctuation Flow Diagram

按照理想物理守恒流的原理,如果分辨单元内不受到特殊水汽的影响,则认为位于边界层以上高度的水汽密度和温度剖线保持ECMWF原始状态不变,即不受地形波动的影响,而仅在边界层以下的水汽密度和温度剖线受到地形的影响。针对不同海拔上的待加密点水汽值,通过不断伸缩加密点所在ECMWF格网上的水汽密度和温度剖线来调节不同气压层上的气象参数值,如此即可得到对应于加密点海拔的伸缩后的水汽密度和温度剖线(Stretched),然后利用平滑函数对边界层以下的Stretched剖线和ECMWF原始剖线(Original)的进行平滑处理,以此来调节近地表水汽混合比,得到联合后的水汽密度和温度剖线(Combined)。最终加密点的水汽值是通过分别对大气边界层以上和以下水汽密度和温度剖线联合剖线(Combined)进行积分求和。边界层伸缩的水汽空间加密算法的实现参考了大气Theta-Sigma混合垂直坐标模型的建立[20]图 3显示的为SBLM一个水汽密度和温度剖线拉伸的例子。

图 3 SBLM剖线拉伸示例图 Fig. 3 Sample of SBLM Boundary Layer Stretched Profiles

为调节近地表的混合水汽比,本文采用的线性权平滑函数为[15, 16]

式中,xcombined代表平滑后的气象数据剖线;x0代表原始ECMWF剖线;xs表示经伸缩之后的 ECMWF剖线;而f则表示由线性权平滑函数计算得到的权值,为高程的函数,其示意图见图 4。由于平均水汽影响厚度一般为地表以上1~1.5 km高度[21],因此,本文在计算时选择了地表以上1.2 km作为边界层的平均高度进行计算。

图 4 权重函数示意图 Fig. 4 Diagram of Weighting Function

根据边界层伸缩的ECMWF数据加密思想,本文提出了边界层伸缩思想插值模型(SBLM)实现的几个步骤。

1) 由待加密点的点位坐标计算确定该点所属的ECMWF网格分辨单元,并提取其所属ECMWF网格单元及其周围网格单元的各气压层水汽密度和大气温度剖线数据。

2) 提取待加密点所属的ECMWF网格分辨单元的重力位势高,并由重力位势高截取水汽密度和温度的初始剖线。

3) 根据本文介绍的气压和温度空间加密方法,结合式(5)、(6)以及加密点高程计算获取加密点地表温度和气压估算值。

4) 利用加密点地表温度和气压估算值以及加密点高程信息,对ECMWF初始水汽密度和温度剖线进行伸缩得到调整后的剖线数据。

5) 利用线性平滑函数对边界层以下Original水汽密度和温度剖线与Stretched水汽密度和温度剖线分别进行平滑处理,得到联合的水汽密度和温度剖线。

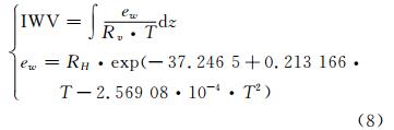
6) 分别对边界层以上的原始剖线和边界层以下的Combined剖线分别按式(8)进行积分,对积分结果求和即得到待插值点的水汽值IWV[22, 23]

其中,ew表示水汽分压;Rv为水汽特定气体常数,其值为461.495 J·5K-1·5kg-1RH为相对湿度,百分比表示;T为开尔文绝对温度;z表示积分高度。

该算法的实现过程中需要用到ECMWF数据,包括格网点地表层温度、地表层气压、地表层重力位势高、各等压面的温度、各等压面水汽密度、各等压面位势高、Theta-Sigma混合垂直坐标系ab参数等,其中,ab参数可参考ECMWF网站。算法实现流程图见图 5

图 5 SBLM算法主要流程图 Fig. 5 Flow Chart of SBLM Algorithm
2 算法有效性检验

为了检验所提算法模型的加密效果及精度,本文利用美国GPS-IPW示范网络中数据完整且质量可靠的90个GPS连续观测站的水汽数据及地面气压和温度实测值进行了实验,GPS点位分布如图 6所示。该网络主要是用于研究地基GPS气象科学,实验中采用的数据时间段为2009年6~7月的数据。由于北半球夏季的大气水汽含量、地表气压和地表温度变化较为活跃,因此,利用这段时间的实测数据可充分检验SBLM的有效性和精度。本文实验中采用GIPSY-OASIS II软件的精密单点定位模式对GPS可降水汽含量进行解算,卫星高度截止角为7°[24],投影函数为全球投影函数(global mapping function,GMT),GPS水汽解算精度优于1 mm。

图 6 GPS站点分布示意图 Fig. 6 Diagram of GPS Sites Distribution

本文实验中用于验证算法的ECMWF高时空分辨率再分析资料,其空间分辨率为0.7°×0.7°。由于UTC时间为18点时刻的GPS观测PWV值、地表实测气压P和温度T最完整,所以,本文算法在计算时也采用了同样时刻的ECMWF数据进行处理。最终以GPS可降水汽量PWV、地面实测气压P及温度T为真值,将利用加密模型对ECMWF加密得到的计算结果与真值进行相关性分析,得到如图 7所示的结果。从图 7的相关回归中不难得出以下结论。

图 7 SBLM算法加密前后ECMWF数据与实测值的相关性 Fig. 7 Correlation Between ECMWF and Measured Datasets Before and After SBLM Interpolation Algorithm

1) ECMWF原始PWV结果较GPS PWV整体偏小,两者间存在系统偏差,两者的相关系数为0.84,PWV结果精度为3.58 mm;而SBLM PWV结果与GPS PWV间相关性较高,其相关系数可达0.94,SBLM PWV的结果精度为2.20 mm,精度提高了38%。也就是说,SBLM算法具有相当高的PWV计算精度。

2) 由于ECMWF原始格网分辨率较粗糙,地表气压不能顾及局部地形变化的影响,导致ECMWF原始气压结果与地表实测值之间存在较大的跳跃,而SBLM加密结果则很好地实现了对ECMWF地表气压的改正。根据计算,SBLM地表气压加密结果与实测气压相关性达0.99,加密精度为2.92 hPa。

3) 同样,由于ECMWF原始格网分辨率较粗糙,导致ECNWF原始地表温度与地表实测温度的相关性偏低(约为0.88),而SBLM加密后的地表温度则与地表实测温度保持了较好的一致性,两者的相关系数达到0.96,加密精度达到2.27 K。

以上分析表明,SBLM算法计算结果与实测值较ECMWF原始结果在PWV、PT上,精度均有明显提高。为了进一步分析SBLM插值结果是否也能很好地反映PWV、PT随时间的变化,本文在相同点位上提取了SBLM和实测的时间序列结果,发现两者在时间序列上同样具有较好的相关性。图 8展示了某一点(见图 6方框)的SBLM计算结果与实测值随时间的波动性。由图 8可见,虽然ECMWF原始结果也能够反映地面点PWV、PT随时间的变化趋势,但SBLM计算的结果与实测值随时间的波动性更为贴近,SBLM加密算法结果能较真实地反映PWV、PT的实际动态变化。

图 8 SBLM算法加密前后ECMWF数据与实测值的时序相关性 Fig. 8 Correlation Between ECMWF and Measured Datasets Before and After SBLM Interpolation Algorithm in Time Series
3 结 语

水汽分布情况对理解天气和全球气候变化至关重要,针对ECMWF格网点气象数据在研究小区域气象预报时空间分辨率较低的缺点,本文对ECMWF水汽的空间加密思想进行了研究,建立了基于边界层伸缩算法的空间插值模型(SBLM),并进行了算法实现,同时结合实测GPS以及地面气象数据对算法结果进行了验证。结果表明,与ECMWF原始结果相比,根据SBLM计算得到的PWV、P和T在精度上均有较大提高,结果精度分别可达到2.20 mm、2.92 hPa和2.27 K,相关系数分别高达0.94、0.99和0.96以上。因此,基于边界层伸缩思想的ECMWF空间加密算法,对研究区域性气候变化具有实用意义,可为利用ECMWF进行区域气象预报提供更为精细的水汽、气压和温度场,对利用数值模式数据研究气侯变化具有参考意义。

致谢:感谢欧洲中尺度气象预报中心提供数据。

参考文献
[1] Li Guoping, Chen Jiaona, Huang Dingfa, et al. Real-time Monitoring System of Precipitable Water Vapor Derived from Ground-Based GPS and Its Applications in Meteorology[J]. Geomatics and Information Science of Wuhan University, 2009,34(11):1 328-1 331(李国平,陈娇娜,黄丁发,等. 地基GPS水汽实时监测系统及其气象业务应用[J].武汉大学学报·信息科学版,2009,34(11):1 328-1 331)
[2] Annamalai H,Slingo J M, Sperber K R, et al. The Mean Evolution and Variability of the Asian Summer Monsoon: Comparison of ECMWF and NCEP/NCAR Re-analyses [J]. Monthly Weather Review, 1999,127 (6) : 1 157-1 186
[3] Huang Gang.The Assessment and Difference of the Interdecadal Variations of Climate Change in Northern Part of China with the NCEP/NCAR and ERA-40 Reanalysis Data [J]. Climatic and Environmental Research, 2006, 11 (3) : 310-320(黄刚. NCEP /NCAR和ERA 40再分析资料以及探空观测资料分析中国北方地区年代际气候变化[J]. 气候与环境研究, 2006, 11 (3) : 310-320)
[4] Renfrew I, Moore G,Guest P,et al. A Comparison of Surface Layer and Surface Turbulent Flux Observations over the Labrador Sea with ECMWF Analyses and NCEP Re-analyses [J]. Journal of Physical Oceanography, 2002, 32(2):383-400
[5] Bromwich D H, Fogt R L. Strong Trends in the Skill of the ERA-40 and NCEP-NCAR Re-analyses in the High and Mid-latitudes of the Southern Hemisphere, 1958-2001[J]. Journal of Climates, 2004,17(23): 4 603-4 619
[6] Flentje H, Drnbrack A, Fix A, et al. Evaluation of ECMWF Water Vapor Fields by Airborne Differential Absorption Lidar Measurements: A Case Study Between Brazil and Europe,Atmospheric [J]. Chemistry and Physics, 2007(7): 5 033-5 042
[7] Ye Hengchun, Fetzer E J, Fishbein E F, et al. Atmospheric Total Precipitable Water from AIRS and ECMWF During Antarctic Summer [J]. Geophysical Research Letters, 2007, DOI:10.1029/2006GL028547
[8] Bock O, Keil C, Richard E, et al. Validation of Precipitable Water from ECMWF Model Analyses with GPS and Radiosonde Data During the MAP SOP [J]. Royal Meteorological Society, 2005,131:3 013-3 036
[9] Zhang Shuangcheng, Ye Shirong, Liu Jingnan, et al. Latest Progress of Dynamic Mapping Functions and Its Application to GNSS Retrieved Water-Vapor[J]. Geomatics and Information Science of Wuhan University, 2009,34(3): 280-283(张双成,叶世榕,刘经南,等.动态映射函数最新进展及其在GNSS遥感水汽中的应用研究[J], 武汉大学学报·信息科学版,2009,34(3):280-283)
[10] Bock O, Nuret M. Verification of NWP Model Analyses and Radiosonde Humidity Data with GPS Precipitable Water Vapor Estimates During AMMA[J].Weather and Forecasting, 2009(24): 1 085-1 101
[11] Ren Xiaoyan, Ge Jiao, Yang Qichao, et al. ECMWF Products Forecast Accuracy Test Products in Asia Latitudes[J]. Henan Meteorological, 2002(1): 22-23(任晓燕,葛娇, 杨启超, 等.ECMWF产品在亚洲中纬度地区预报精度检验[J].河南气象,2002 (1 ):22-23)
[12] Wen Caihong, Yang Xiuqun. Potential Predictability of Seasonal Mean Climate Anomaly Assessed from ECMWF Ensemble Seasonal Forecasts[J].Meteorological Science, 2003,23(4):379-391(文彩虹, 杨修群. 使用ECMWF 集合预报数据集估计全球季节平均气候异常的潜在可预报性[J].气象科学, 2003,23(4):379-391)
[13] The European Centre for Medium-Range Weather Forecasts (ECMWF).Datasets[EB/OL].http://www.ecmwf.int/,2013
[14] Moore A W, Granger S L, Owen S E, et al. Toward Correcting InSAR Images for Tropospheric Delay [EB/OL]. http://www.ngs.noaa.gov/igsworkshop2008/docs/Moore.ppt, 2014
[15] von Allmen P, Fielding E, Fishbein E F, et al. OSCAR: Online Services for Correction of Atmosphere in Radar [EB/OL]. http://esto.nasa.gov/conferences/estf2011/presentations/VonAllmen_ESTF2011.pdf, 2014
[16] Lofgren J S, Bjorndahl F, Moore A W, et al. Tropospheric Correction for InSAR Using Interpolated ECMWF Data and GPS Zenith Total Delay from the Southern California Integrated GPS Network[C]. Geoscience and Remote Sensing Symposium, Honolulu,Hawaii,USA,2010
[17] NASA's Jet Propulsion Laboratory. Tropospheric Correction for InSAR Using Interpolated ECMWF Data and GPS Zenith Total Delay [EB/OL]. http://publications.lib.chalmers.se/records/fulltext/local_128341.pdf, 2011
[18] Stull R. Meteorology for Scientists and Engineers (Second Edition)[M]. Pacific Grove, CA:Thomson Learning, 2000
[19] Webley P W, Bingley R M, Dodson A H, et al. Atmospheric Water Vapour Correction to InSAR Surface Motion Measurements on Mountains: Results from a Dense GPS Network on Mount Etna [J].Physics and Chemistry of the Earth, Parts A/B/C, 2002,27 (4/5):363-370
[20] Vertical Resolution and Coordinates. Description of Vertical Coordinate Systems[EB/OL]. http://www.met.tamu.edu/class/metr452/models/2001/vertres.html,2013
[21] Uppsala J C, Smedman S. Does the Height of the Boundary Layer Influence the Turbulence Structure Near the Surface over the Baltic Sea?[C]. The 15th Conference on Boundary Layer and Turbulence, Wageningen, The Netherlands, 2002
[22] Godson W L. Atmospheric Radiation (Current Investigations and Problems)[R]. WMO, Ginevra, The Switzerland, 1955
[23] Bevis M, Businger S, Herring T A, et al. GPS Meteorology: Remote Sensing of Atmospheric Water Vapor Using the Global Positioning System [J]. Journal of Geophysical Research, 1992, 97(D14):15 787-15 801
[24] Bar-Sever Y E, Kroger P M. Strategies for GPS-Based Estimates of Troposphere Delay[C]. The 9th International Technical Meeting of the Satellite Division of the Institute of Navigation,Kansas, Missouri, 1996